Foro de preguntas y respuestas de Matemáticas

logo beUnicoos
Los foros de unicoos se han unificado en nuestra nueva plataforma beUnicoos. Para dejar nuevas preguntas deberás hacerlo allí, donde además podrás encontrar nuevas asignaturas y herramientas para ayudarte más con tus estudios.

  • icon

    Laura
    el 3/8/17

    Hola, gracias Silvio por tu ayuda, yo lo resolvió así porque me pide hallar la ecuación parametrica cartesiana esta bien? Gracias

    replythumb_up0 voto/sflag
    icon

    Guillem De La Calle Vicente
    el 4/8/17

    Lo tienes perfecto, Laura.

    Saludos.

    thumb_up1 voto/sflag
  • icon

    Antonio Martinez Parra
    el 3/8/17

    buenas 

    necesito ver las soluciones de estos ejercicios para ver si los tengo bien .el que mas dudas tengo es el ej: d , gracias de antemano

     


    replythumb_up0 voto/sflag
    icon

    Guillem De La Calle Vicente
    el 4/8/17


    thumb_up0 voto/sflag
    icon

    Ángel
    el 4/8/17

    Supongo que tendrás que usar las identidades notables para transformar a polinomio de 2ºgrado....

    a)4x2+4-8x = 4x2-8x+4

    b)4x2+4+8x = 4x2+8x+4

    c)9x2-9

    d)9x2+(1/2)2-2*3x*(1/2) =  9x2+(1/4)-3x = 9x2-3x+(1/4)


    thumb_up0 voto/sflag
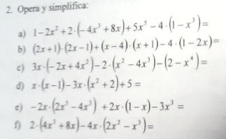
  • icon

    Yohan Cristhian Sosa Mendoza
    el 3/8/17

    Porfavor necesito ayuda con estos tres ejercicos, no los logro comprender 

    replythumb_up0 voto/sflag
    icon

    Antonius Benedictus
    el 3/8/17

    Te va uno, para que veas cómo se hace:


    thumb_up0 voto/sflag
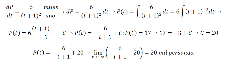
  • Usuario eliminado
    el 3/8/17



    Hola. Pueden ayudarme con este problema de cálculo integral?(La 4)

    Yo lo había resuelto así, pero estaba mal según mi profesor.


    replythumb_up0 voto/sflag
    icon

    Antonius Benedictus
    el 3/8/17


    thumb_up0 voto/sflag
  • icon

    Guillem De La Calle Vicente
    el 3/8/17

    Indique qué ecuaciones resultan de desplazar la recta y=mx

    Verticalmente para hacerla pasar por el punto (a,b).

    replythumb_up0 voto/sflag
    icon

    Antonius Benedictus
    el 3/8/17

    y=mx+c

    x=a, y=b

    b=ma+c

    c=b-ma

    Resultado:

    y=mx+(b-ma)

    thumb_up0 voto/sflag
    icon

    Guillem De La Calle Vicente
    el 4/8/17

    Correcto.

    thumb_up0 voto/sflag
  • icon

    Nacho Barranco Bastan
    el 3/8/17

    Ayuda con este examen por favor...muchas gracias!

    replythumb_up0 voto/sflag
    icon

    Antonius Benedictus
    el 3/8/17

    ¿Por dónde empezamos, Nacho?

    thumb_up0 voto/sflag
    icon

    Guillem De La Calle Vicente
    el 3/8/17

    Nacho te has pasado jeje!!! Si nos dices algun ejercicio, te podemos ayudar mejor!!!

    thumb_up0 voto/sflag
    icon

    Nacho Barranco Bastan
    el 5/8/17

    El ejercicio que dice E-2  complete y ademas el que dice E-3 determine el carácter de las siguientes series me sería de mucha utilidad...

    thumb_up0 voto/sflag
    icon

    Ángel
    el 5/8/17

    Tienes que mandar una foto más nítida y/0 más de cerca de esto:

    porque no se ve bien.



    El ejercicio del dominio es (5,0) porque:

    Numerador--->  ln(x-4) ----> x>4

    Denominador ---->  √(x-5)  -----> x≥5 por estar dentro de una raíz y x>5 por estar en el denominador se descarta también el propio 5.

    thumb_up0 voto/sflag
  • icon

    Alejandro Álvarez
    el 3/8/17

    Buenas tardes,

    podrían ayudarme con este ejercicio de matrices :

    Viendo los vídeos de David yo calculo que X=I-B

    Pero esta es la resolución del ejercicio que me han dado y de la cual no entiendo nada del procedimiento.

    Gracias y un saludo.

    replythumb_up0 voto/sflag
    icon

    Antonius Benedictus
    el 3/8/17

    No lo tienes bien, Alejandro:

    Pero, desde luego, la solución propuesta no tiene nada que ver con el enunciado.

    thumb_up0 voto/sflag
    icon

    Alejandro Álvarez
    el 6/8/17

    Muchas gracias,

    ahora tengo problemas en la resolución ya que al comprobar no consigo que se cumpla la primera igualdad.


    thumb_up0 voto/sflag
  • icon

    Romina Puig
    el 3/8/17

    Hola buen día . Necesito ver algún video de función inversa y compuesta pero el que esta titulado composición de funciones no me sirve ya que estoy viendo más profundo el tema con restricciones.  Soy de Argentina y estoy en el primer año del profesorado de matemática. Gracias 

    replythumb_up0 voto/sflag
    icon

    Antonius Benedictus
    el 3/8/17

    No tenemos vídeos tan especializados. Pero, si tienes alguna duda sobre ese asunto, súbela y alguno de nosotros podrá ayudarte.

    thumb_up0 voto/sflag
  • icon

    Nicolas
    el 3/8/17


    replythumb_up0 voto/sflag
    icon

    Nacho Barranco Bastan
    el 3/8/17

    Solo gira la imagen , ahi estan las respuestas. Saludos

    thumb_up0 voto/sflag
  • icon

    Nicolas
    el 3/8/17

    Nuria y Arturo participaron en una carrera, la 1ª hora habían recorrido los 3/8 del trayecto y en la 2ª hora 3/10 del trayecto:

    Si han recorrido 2160m ¿Cuál es la longitud total del trayecto?

    replythumb_up0 voto/sflag
    icon

    Guillem De La Calle Vicente
    el 3/8/17

    3/8 + 3/10 = 27/40. Han realizado 27/40 del total del trayecto.

    27/40 ------- 2160 m

    40/40=1 ----- x m

    x=2160/(27/40)=3200 m es la longitud total del trayecto.

    thumb_up1 voto/sflag