
¡Hola! Nos encantaría ayudarte, pero no solemos responder dudas universitarias que no tengan que ver específicamente con los vídeos que David ha grabado como excepción. O de otras asignaturas que no sean Matemáticas, Física y Química. Lo sentimos de corazón… Esperamos que lo entiendas.
Ojalá algún unicoo universitario se anime a ayudarte (de hecho, lo ideal es que todos los universitarios intentarais ayudaros los unos a los otros).
Hola, necesito calcular las raices de este polinomio. Las 4 raices que posee son complejas. Gracias!
P(x)= x^4+x^3+5x^2+x+1/4

El enunciado original es:
Sea P(x): [(x^5-26/3*x^3-3x)^2 * (x^4+x^3+5x^2+x+1/4)] , hallar todas sus raices indicando el orden de multiplicidad de cada una.
Ya halle sin problemas las raices tanto reales como complejas de la primera parte del polinomio ((x^5-26/3*x^3-3x)^2), que son 10 en total. Pero no se como hallar manualmente las raices de la segunda parte del polinomio. Igualmente tambien lo he resuelto en un programa y pienso que debe haber un error en el enunciado, porque me queda igual que a ti.
Mas alla de este ejercicio, ¿podrias decirme como calcularias las raices complejas en un polinomio cualquiera de grado 4 donde todas sus raices son complejas conjugadas? He buscado en libros y en internet pero solo encuentro ejemplos de polinomios de grado 2, que ya se como hallarlas.
¡¡Muchas gracias!!
Buenas estoy resolviendo un sistema de Ecuaciones mediante Cramer y me a quedado para hacer el det de una matriz que empieza con cero. La duda es si se puede hacer o no pensé en reducirlo por gauss y hacerlo así lo que me queda duda es si eso se puedo o ya teniendo un cero en el principio de da como sin solución
Det de
0 1 1 2
-10 2 1 3
7 - 4 3 1
1 3 2 0
Gracias
Resuelva las inecuaciones dadas, expresando la solución como un intervalo o unión de intervalos.
(a) 3(2-x)<2(3+x)
(b) x²<9
(c) (1)/(2-x)<3
(d) (x+1)/(x)≥2
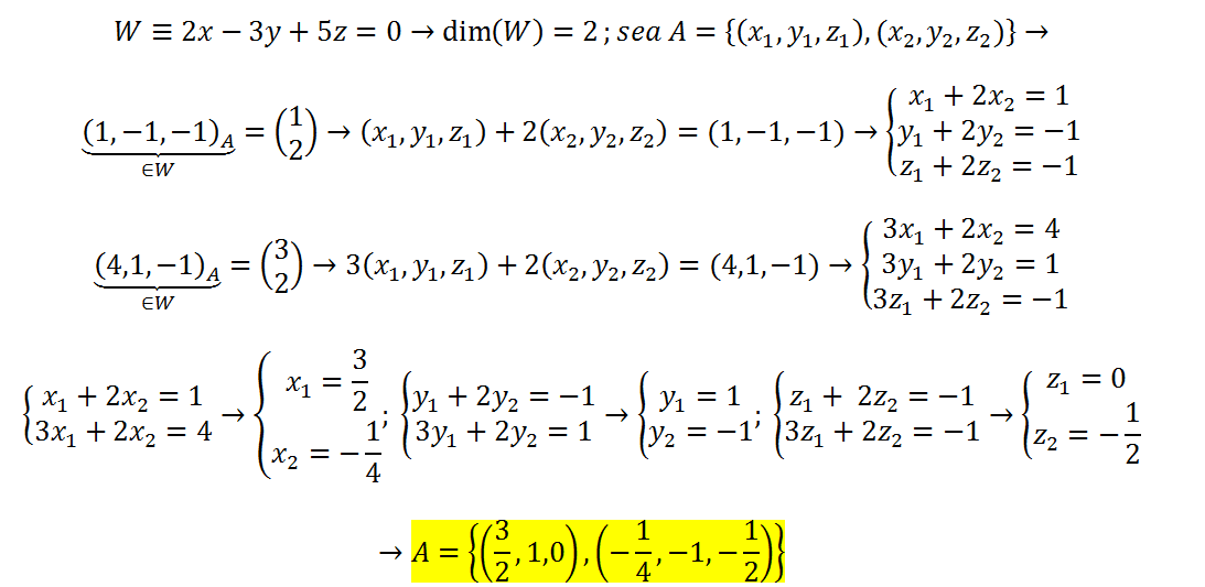
Hola buenas, me podrían ayudar a establecer la forma de encontrar la dimensión y la base de este ejercicio, por favor