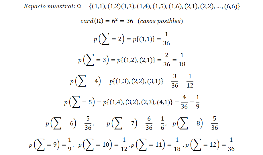
Hola, primero daros las gracias por vuestro trabajo. Sin vosotros, sería incapaz de entender muchas cosas que estoy estudiando en Matemáticas. Me gustaría exponer un problema que me trae de cabeza, a pesar de haber visto todos vuestros vídeos sobre probabilidades. El enunciado es el siguiente: Determínese la probabilidad de casa suceso elemental del espacio muestral correspondiente al experimento de obtener un número sumando los resultados obtenidos al lanzar dos dados.
Tengo casi claro que tengo que aplicar la regla de Laplace (número de casos favorables entre los posibles), pero no consigo sacarlo, sobre todo porque en los resultados del libro me viene como posibles 36 y no lo entiendo.
Muchas gracias!
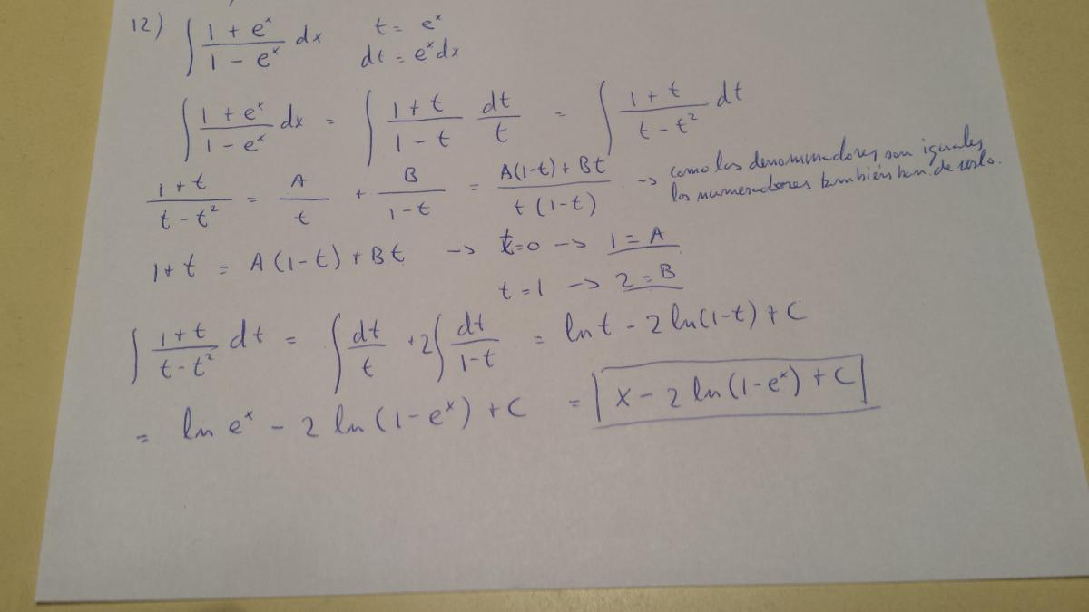
Hola a todos, teneís una web magnífica y me encanta la labor que estais realizando, a ver si me podeis ayudar con la siguiente duda. Al resolver esta integral por sustitución el resultado creo que me sale mal. La solución que dan por buena en Vitutor es: x - 2 ln (e^x -1)+C y a mi me da: x - 2 ln (1 - e^x) + C
Me he fijado que en la resolución que hacen ellos del ejercicio nada más hacer el cambio de variable cambian de signo numerador y denominador pero no entiendo por qué, he tratado de ver algun error en la resolución que presenta vitutor y no veo el fallo por ningún lado así como tampoco lo veo en mi ejercicio. Dónde esta el fallo???

Muchas gracias Antonio. He derivado y he confirmado que tienes razón. Pero aún estoy más confuso que antes porque al derivar la otra solución también es correcta. Ambas soluciones las he graficado y son distintas, una es simétrica de la otra. Pero esto es imposible no? Las soluciones a una integral son una familia de funciones dónde todas son iguales salvo que cambia la constante C y aqui no ocurre esto.

Te dan la solución cuya expresión es:
y = x - 2*ln(ex - 1) + C,
derivas término a término (observa que en el segundo término debes aplicar la regla de la cadena) y queda:
y ' = 1 - 2*( ex/(ex - 1) ) + 0,
cancelas el término nulo, extrae denominador común y queda:
y ' = (ex - 1 - 2*ex)/(ex - 1) = ( - ex - 1)/(ex - 1) = extraes factor común en el numerador = - (ex + 1)/(ex - 1).
Observa que la expresión remarcada es la opuesta al argumento de la integral.
Espero haberte ayudado.

Muchísimas gracias Antonio por tomarte la molestia de responderme y ayudarme a entender este ejercicio. Pero fijate una cosa. Esa expresión que has derivado te da igual que a mí, pero fijate en el denominador, no es el mismo que el argumento de la integral, también está cambiado de signo! por lo tanto esa expresión es idéntica al argumento de la integral.
- (ex + 1) / (ex - 1) = - (1 + ex ) / - (1 - ex ) = (1 + ex ) / (1 - ex )
Por que la primera indeterminaci'on da 1∧∞ y no 1∧−∞?


Observa que si aplicas la sustitución (cambio de variable): w = - x, de donde despejas: x = - w, luego sustituyes y queda:
Lím(w→+∞) ( (-w)2 + 1 )/( (-w)2 + 2) )-w = resuelves cuadrados y queda:
= Lím(w→+∞) (w2 + 1 )/(w2 + 2) )-w = aplicas la propiedad de las potencias con exponente negativo y queda:
= Lím(w→+∞) (w2 + 2 )/(w2 + 1) )w, y observa que la base del argumento tiende a 1 y el exponente tiende a +infinito, tal como indican en tu enunciado.
Espero haberte ayudado.
Hola a todos, se que esto no es un foro para dudas universitarias, pero rogaría que me echarais una mano con esta duda.
Para la sucesión de funciones fn=x^n, se que converge puntualmente a f = 0 (si 0<= x < 1) 1 ( si x=1) pero a la hora de estudiar la convergencia uniforme, no entiendo por que no converge uniformemente pues si utilizamos el criterio de Mn = sup { |fn(x) - f(x)| ; x perteneciente a [0,1]} , ese supremo es 0 siempre y por tanto la convergencia es uniforme. Les agradecería que me expliquen por que ese supremo en los libros da que es 1 y por tanto la convergencia no es uniforme. Gracias !!

¡Hola! Nos encantaría ayudarte, pero no solemos responder dudas universitarias que no tengan que ver específicamente con los vídeos que David ha grabado como excepción. O de otras asignaturas que no sean Matemáticas, Física y Química. Lo sentimos de corazón… Esperamos que lo entiendas.
Ojalá algún unicoo universitario se anime a ayudarte (de hecho, lo ideal es que todos los universitarios intentarais ayudaros los unos a los otros).
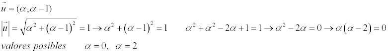
Tengo un problea de vectores, por mas que he visto los vídeos no me aclaro.....¿alguien que pueda ayudarme?

Solo tienes que aplicar la definición de módulo al vector v.
|v|= √((a²+(a-1)²)=1, desarrollando lo que está dentro de la raíz te queda: √(2a²-2a+1)=1, esto implica que lo de dentro de la raíz sea igual a uno.
Solo te queda resolver la ecuación: 2a²-2a+1=1. Da como solucion a=0 y a=1.
Suerte.

Puedes aplicar la propiedad del logaritmo de una division en el primer miembro y queda:
log( (x+1)/x ) = 1,
luego compones con la funcion inversa del logaritmo en base 10 en ambos miembros y queda:
(x+1)/x = 10, haces pasaje de divisor como factor y queda:
x + 1 = 10x, haces pasajes de terminos y queda:
- 9x = - 1, haces pasaje de factor como divisor y queda:
x = 1/9.
Espero haberte ayudado.
Por favor alguien me puede ayudar con este problema, he tratado de resolverlo, pero no he podido resolverlo.
Un tambor pesa W = 320 lb; volumen 4 pie3, cae al mar con v0 = 0. Ec. de la fuerza al caer al mar es: m(dv/dt) = -W + B + FR. B fuerza de flotación (62,5 lb/pie3), FR fuerza resistencia del agua (1 lb por pie/seg). ¿Cuál es profundidad máx. para que impacto al fondo no pase de 30 pie/s? g = 32 m/s2.