Tengo bien hecho y explicado este ejercicio de sistemas de ecuaciones. Es un ejercicio de selectividad de este año.
Los enunciados de los apartados son:
a) Clasifique el siguiente sistema de ecuaciones, según los diferentes valores de la constante real landa(λ) .
b) Halle la solución, si existe, cuando landa (λ) valga 1.
Hola, he visto su video de como hallar el rango de una matriz a través de determinantes y el rpoblemas esque usa ejemplos de matrices 2x3 ,es decir, no cuadradas y en mi libro de matemáticas dice que solo las matrices cuadradas tienen determinantes...ayuda?¡

Observa que en el vídeo se selecciona una submatriz de la matriz, porque tal como dices, los determinantes se calculan con matrices cuadradas.
Por ejemplo, si tienes la matriz:
A =
1 1 0
2 1 1
puedes seleccionar la submatriz formada por los dos últimos elementos de cada fila:
AS =
1 0
1 1,
y como su determinante es distinto de cero, tenes que la matriz A, con elementos reles, de dos filas y tres columnas, tiene rango 2, que es el orden del determinante de la submatriz.
En general, el rango de una matriz rectangular es menor o igual que el menor valor entre las cantidades de filas y de columnas de la matriz.
Espero haberte ayudado.
Hola, me han ayudado muchos los videos de unicoos en youtube, actualmente estoy viendo el tema de la "Serie de Fourier" pero no veo video de este tema, sería genial ver este tema. Saludos desde Panamá.
buenas tardes,
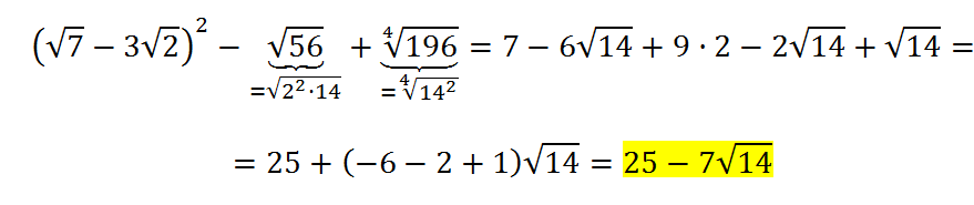
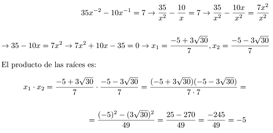
podrían indicarme si la resolución del siguiente ejercicio es correcta o si hay una resolución mas simple.
Gracias y un saludo.
Exprese los números racionales 1/7, 2/7, 3/7 y 4/7 mediante repetición de dígitos decimales (utilice una calculadora para obtener tantos dígitos decimales como sea posible). ¿Se puede observar algún tipo de pauta? Intente predecir cómo serán las expresioens de las fracciones 5/7 y 6/7, y compruebe sus predicciones.
Buenas, quería saber cuando una función es continua, discontinua o como indica en el enunciado, no está definida en x=0.