Hola, ¿alguien me puede ayudar con este problema de estadística? La solución se supone que debe dar 0.05262.

¡Hola! Nos encantaría ayudarte, pero no solemos responder dudas universitarias que no tengan que ver específicamente con los vídeos que David ha grabado como excepción. O de otras asignaturas que no sean Matemáticas, Física y Química. Lo sentimos de corazón… Esperamos que lo entiendas.
Ojalá algún unicoo universitario se anime a ayudarte (de hecho, lo ideal es que todos los universitarios intentarais ayudaros los unos a los otros).
Buenos días, no se como hallar los límites de integración para hallar el área entre estas dos funciones; las igualo entre ellas pero no me sale nada. Gracias![]()

Observa que las dos funciones tienen dominio R, luego plantea la condición:
g(x) = f(x), sustituyes expresiones y queda:
x2*e-x = x*e-x, haces pasaje de término y queda:
x2*e-x - x*e-x = 0, extraes factor común y queda:
x*e-x*(x - 1) = 0, haces pasaje del segundo factor como divisor (observa que es estrictamente positivo) y queda:
x*(x - 1) = 0, luego, por anulación de un producto, tienes dos opciones:
x = 0,
x - 1 = 0, haces pasaje de término y queda: x = 1.
Espero haberte ayudado.
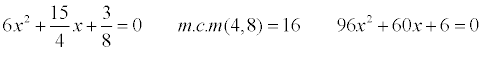
Buenas noches ¿ dónde puedo encontrar cómo resolver un ejercicio de factorización de la forma ax2+bx+c que tiene fracciones?
Es así el ejercicio 6x2+15\4 x+ 3\8

Puedes comenzar por plantear la ecuación polinómica cuadrática:
P(x) = 0, sustituyes la expresión del polinomio y queda:
6x2 + (15/4)x+3/8, luego multiplicas en todos los términos de la ecuación por 8/3 y queda:
16x2 + 10x + 1 = 0, que es una ecuación equivalente, cuyos coeficientes son: a = 16, b = 10 y c = 1;
luego planteas su discriminante:
D = b2 - 4*a*c = 102 - 4*16*1 = 100 - 64 = 36 > 0, por lo que tienes dos soluciones reales diferentes:
x = ( - b ± √(D) ) / 2*a = ( - 10 ± √(36) ) / 2*16 = ( - 10 ± 6 ) / 32, y luego tienes:
x1 = (-10 + 6)/32 = - 4/32 = - 1/8, que es una de las raíces del polinomio;
x2 = (-10 - 6)/32 = - 16/32 = - 1/2, que es su otra raíz.
Luego, puedes plantear la factorización del polnomio cuadrático del enunciado queda (observa que su coeficiente principal es A = 6):
P(x) = A*(x - x1)*(x - x2),
reemplazas valores, resuelves signos y queda:
P(x) = 6*(x + 1/8)*(x + 1/2).
Espero haberte ayudado.