Buenas tardes, me ayudarían? Me pide qun determine y verifique el conjunto solución. Cual seria? Es un SCI?![]()

ya desde el segundo paso que hiciste podes ver que tipo de sistema va a ser. la tecer y cuarta fila podes eliminarla al ser iguales que la segunda. podria trabajar algo para tachar algo de la primer fila, pero al final te va a quedar 2 ecuaciones para 5 incognitas. por lo que tu sistema seria SCI. sino comparando el rango de tu matriz con el rango de la matriz ampliada. va a ver que es mejor. y llegas a la misma conclusion, tu sistema es SCI
Ayudadme con el siguiente ejercicio: (Explicádmelo, no lo entiendo)
Ordenar de menor a mayor y represéntalos gráficamente en la recta real: 8, -6, -5, 3, -2, 4, -4, 0, 7
Sean A, B, C conjuntos cualesquiera.
Demuestra que (A∪B)∩C=A∪(B∩C) si y sólo si A⊆C.
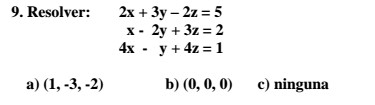
hola, queria saber como se hace este ejercicio:
1)Sea Dn el conjunto de los divisores positivos de n con las operaciones mcm y mcd.
Decidir si D120 , D190 son o no algebras de Boole, justificando las respuestas.
En caso que lo sea, graficar su diagrama de Hasse.
Muchas gracias.