Hola, me pueden ayudar con este ejercicio.
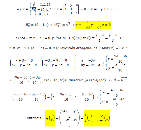
Al a lo hice (no se si esta bien) : F = ((x,y,z) - (0,0,0)) * (-1,0,1)
Y el b tengo una ecuación pero no se como hacerlo, la ecuación es la siguiente:
S (p) = 2 *( (<p , v>) / ||v||^2 ) * v - p
Buenas tardes
¿tengo un problema resolviendo este ejercicio podríais ayudarme?
5x+1 + 5x 5x-1 = 31/5
Gracias y un saludo.
y este es otro ejercicio hallar la posición relativa y el punto de corte,si existe,de estas rectas
a)
r={x=3-t
{y=2t
s={x=-2+4t
{y =1+2t
como se haría?

Observa que tienes las ecuaciones paramétricas de dos rectas, por lo que los parámetros deben ser diferentes: mantendremos t para la primera recta, y empleamos el parámetro u para la segunda.
Luego igualas expresiones de x por una parte, y expresiones de y por la otra, y queda el sistema de dos ecuaciones con dos incógnitas:
3 - t = 2 + 4u
2t = 1 + 2u,
haces pasajes de términos y queda:
- t - 4u = - 1, de aquí despejas: - 4u + 1 = t (1)
2t - 2u = 1,
luego sustituyes la expresión señalada (1) en la segunda ecuación y queda:
2(- 4u + 1) - 2u = 1, distribuyes y queda:
- 8u + 2 - 2u = 1, haces pasaje de término, reduces términos semejantes y queda:
- 10u = - 1, haces pasaje de factor como divisor y queda:
u = 1/10, luego reemplazas en la ecuación señalada (1) y queda:
- 4(1/10) + 1 = t, resuelves y tienes: 3/5 = t.
Luego, reemplazas en las ecuaciones paramétricas correspondientes y tienes:
a) para la recta r:
x = 3 - 3/5 = 12/5,
y = 2(3/5) = 6/5,
por lo que las coordenadas del punto de corte quedan: A(12/5,6/5);
b) para la recta s:
x = 2 + 4(1/10) = 2 + 2/5 = 12/5,
y = 1 + 2(1/10) = 1 + 1/5 = 6/5,
por lo que se verifica que las coordenadas de punto de corte quedan: A(12/5,6/5).
Espero haberte ayudado.