Foro de preguntas y respuestas de Matemáticas

logo beUnicoos
Los foros de unicoos se han unificado en nuestra nueva plataforma beUnicoos. Para dejar nuevas preguntas deberás hacerlo allí, donde además podrás encontrar nuevas asignaturas y herramientas para ayudarte más con tus estudios.

  • icon

    Guillem De La Calle Vicente
    el 7/7/17

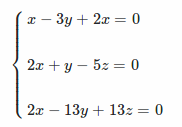
    Discute y resuelve el sistema de ecuaciones lineales siguiente:

    Resuelve si es compatible y escribe la solución general como suma de una solución particular y una solución del sistema homogéneo asociado.

    replythumb_up0 voto/sflag
    icon

    Antonius Benedictus
    el 7/7/17

    Es un sistema homogéneo.


    thumb_up0 voto/sflag
  • icon

    Armando Fiorini
    el 7/7/17

    se debe agregar el (2,5) y el (5,5) estoy en lo correcto?

    replythumb_up0 voto/sflag
    icon

    Ángel
    el 7/7/17

    Para que se cumpliese la transitividad (si aRb y bRc, entonces aRc) además de el (2,5) , el (9,2)  y el (5,9) habría que añadir el (5,5) y el (9,9)

    ya que (9,2) y (2,9) entonces (9,9) 

    ya que (5,2) y (2,5) entonces (5,5)


    thumb_up0 voto/sflag
    icon

    Antonius Benedictus
    el 7/7/17

    Gracias, Maths, por la rectificación. Ya retiro mi respuesta errónea.

    thumb_up1 voto/sflag
  • icon

    Armando Fiorini
    el 7/7/17

    Buenas tengo esta duda ya que no entiendo que quiere decir ''El producto de las cifras de x es igual al producto de las cifras de y'' 

    replythumb_up0 voto/sflag
    icon

    Antonio
    el 7/7/17

    Pues serán todos los elementos que al multiplicar sus cifras den 8 pues es 8·1

    Serán, pues, 18, 24, 42 y 81

    thumb_up0 voto/sflag
  • icon

    Nico
    el 7/7/17

    hola, tengo una duda que es general.. como puedo encontrar derivadas n-esimas de funciones compuestas? ejemplo esta: e^(x^4)


    replythumb_up0 voto/sflag
    icon

    Antonius Benedictus
    el 7/7/17

    Hay regla (de Leibniz) para la derivada enésima de un producto. Pero no la hay para la derivada enésima de una composición.

    thumb_up1 voto/sflag
    icon

    Nico
    el 7/7/17

    Antonio, puede ser que por el desarrollo de taylor de e^x se pueda calcular la derivada enesima de esa funcion?

    thumb_up0 voto/sflag
  • icon

    Sebastián
    el 7/7/17

    hola, me podrían ayudar a resolver este problema...

    Muchas Gracias

    replythumb_up0 voto/sflag
    icon

    Antonius Benedictus
    el 7/7/17


    thumb_up1 voto/sflag
    icon

    Sebastián
    el 8/7/17
    flag

    Discúlpame, te hago otra pregunta.

    El complemento de los irracionales son los reales, el complemento de los racionales son los reales, el complemento de los reales es conjunto vacío. Cuál es el complemento de los naturales y de los reales?

    Muchas gracias

    thumb_up0 voto/sflag
    icon

    Ángel
    el 9/7/17

    Es imprescindible saber cuál es el conjunto U (universal) tenido en cuenta para saber el complemento 

    Por ejemplo: 

    Si U= ℛ, entonces el complemento de los irracionales serán los racionales.

    Manda la foto de un ejercicio concreto si dudas.


    https://es.wikipedia.org/wiki/Complemento_de_un_conjunto



    thumb_up1 voto/sflag
  • icon

    Armando Fiorini
    el 7/7/17

    Alguien sabe de este tipo de ejercicios? me confunden al momento de encontrar la relacion con el menor numero de elementos

    replythumb_up0 voto/sflag
    icon

    Antonius Benedictus
    el 7/7/17


    thumb_up0 voto/sflag
    icon

    Armando Fiorini
    el 7/7/17

    Osea profe quito el elemento (6,3) y el (8,2)? o bien el (3,6) y el (2,8)

    thumb_up0 voto/sflag
    icon

    Antonius Benedictus
    el 7/7/17

    Hay dos posibilidades más.

    thumb_up0 voto/sflag
    icon

    Ángel
    el 7/7/17

    (6,3) y el (8,2)

    (3,6) y el (2,8)

    (6,3) y el (2,8)

    (3,6) y el (8,2)











    thumb_up0 voto/sflag
  • icon

    Guillem De La Calle Vicente
    el 7/7/17

    Sean X={1,5,4,6} y Y={1,{5},4,{6}}. Responde a la siguiente pregunta, justificando brevemente la respuesta.

    ¿Es verdad que {1}∈X?

    replythumb_up0 voto/sflag
    icon

    Antonius Benedictus
    el 7/7/17


    thumb_up0 voto/sflag
    icon

    Guillem De La Calle Vicente
    el 10/7/17

    Correcto.

    thumb_up0 voto/sflag
  • icon

    Armando Fiorini
    el 7/7/17

    Buenas Tardes a todos me pueden echar una mano con este ejercicio?

    replythumb_up0 voto/sflag
    icon

    Guillem De La Calle Vicente
    el 7/7/17


    thumb_up0 voto/sflag
    icon

    Armando Fiorini
    el 7/7/17

    gracias guillem me sirvio muchisimo!

    thumb_up0 voto/sflag
    icon

    Antonio
    el 7/7/17

    Demostraste otra igualdad!!!!

    thumb_up0 voto/sflag
    icon

    Guillem De La Calle Vicente
    el 7/7/17


    thumb_up0 voto/sflag
  • icon

    Ivan Gijon Arruabarrena
    el 7/7/17

    Alguien me.puede ayudar con la integral de e^-x^-2-3

    replythumb_up0 voto/sflag
    icon

    Guillem De La Calle Vicente
    el 7/7/17

    Pon paréntesis Ivan!! No se entiendo o pon foto del enunciado original del ejercicio.

    thumb_up0 voto/sflag
    icon

    Ivan Gijon Arruabarrena
    el 7/7/17

    Integral de e elevado a -x esto elevado a -2 - 3.

    integral eײ³ o lo que es lo mismo (e ×²) (e³)

    Espero que lo podais entender ahora.

    thumb_up0 voto/sflag
    icon

    Guillem De La Calle Vicente
    el 7/7/17

    No se entiende Ivan. Escribelo en un papel o algo y tiras foto!!

    thumb_up0 voto/sflag
    icon

    Ivan Gijon Arruabarrena
    el 7/7/17


    thumb_up0 voto/sflag
    icon

    Guillem De La Calle Vicente
    el 7/7/17

    Eso es e^-x^5. Por métodos elementales no se puede.


    thumb_up0 voto/sflag
  • icon

    Alfredo Pérez
    el 7/7/17

    Necesito ayuda con la siguiente pregunta. Gracias de antemano.

    Un arco parabólico tiene una altura de 25m y 40m de ancho. ¿Que altura  tiene el arco a 8m del centro? 

    replythumb_up0 voto/sflag
    icon

    Guillem De La Calle Vicente
    el 7/7/17

    Podemos suponer el arco parabólico cóncavo hacia abajo.

    El vértice lo ubicamos en el punto (0, 25)

    La ecuación es de la forma y - 25 = - k x², con k una constante a determinar.

    Cuando x = 20, y = 0; de modo que  25 = k . 20²

    Por lo tanto k = 25 / 400 = 0,0625

    Finalmente y = 25 - 0,0625 x²

    La altura de los puntos a 8 metros será: y = 25 - 0.0625 . 8² = 21 m

    thumb_up0 voto/sflag