Sean X={1,5,4,6} y Y={1,{5},4,{6}}. Responde a la siguiente pregunta, justificando la respuesta.
¿Es verdad que Y∩{x∈ℕ: ∃y∈ℕ(x=2y)}=∅?

Observa que ambas funciones tienen dominio R, y que hemos designado fA y gA a las expresiones de los primeros trozos, y fB y gB a las expresiones de los segundos trozos para ambas funciones.
Luego, tienes para la expresión del segundo trozo de la función f:
fB(x) = |3 - x| = observa que el argumento del valor absoluto es estrictamente negativo = - (x - 3) = - x + 3.
Observa que los puntos de corte - 1 (para la función g) y 3 (para la función f) determinan tres intervalos, a los que trataremos por separado, al igual que a los puntos de corte (observa la imagen):
D1 = (-∞,-1), en el que tienes: (f - g)(x) = fA(x) - gA(x) = (2x - 4) - (x2 - 2x) = 2x - 4 - x2 + 2x = - x2 + 4x - 4 = - (x2 - 4x + 4) = - (x - 2)2, para x < - 1;
x = - 1, en el que tienes: (f - g)(- 1) = fA(- 1) - gB(- 1) = ( 2(-1) - 4 ) - ( 2(-1) - |- 1|2 ) = ( - 2 - 4 ) - ( - 2 - 1) = - 6 - (- 3) = - 6 + 3 = - 3, para x = - 1;
D2 = (- 1,3), en el que tienes: (f - g)(x) = fA(x) - gB(x) = (2x - 4) - (2x - |x|2) = 2x - 4 - 2x + |x|2 = - 4 + x2 = x2 - 4, para - 1 < x < 3;
x = 3, para el que tienes: (f - g)(3) = fA(3) - gB(3) = ( 2(3) - 4 ) - ( 2(3) - |3|2 ) = ( 6 - 4 ) - ( 6 - 9 ) =2 - (-3) = 2 + 3 = 5, para x = 3;
D3 = (3,+∞), en el que tienes: (f - g)(x) = fB(x) - gB(x) = (- x + 3) - (2x - |x|2) = - x + 3 - 2x + x2= x2 - 3x + 3, para x > 3.
Espero haberte ayudado.
Hola, tengo dudas con esto de Algebra. Desde ya gracias
3-a) Describir parametricamente la recta L generada por v = (1,2) y que pasa por w = (1,1).
3-b) Dar las ecuaciones implicita y normal de L.
3-c) Encontrar otra recta L1 ortogonal a L que pase por (1,0). ¿Cuantas hay?
3-d) Describir la recta L2 que pasa por el punto de interseccion de L con L1 y por (1,-1)
3-e) Dar la ecuacion normal de L2
Para que sirven los rayos que acumulas cada vez que ves un vídeo?
Hay 3 elementos que se pueden acumular en unicoos:
1.Rayos (como bien dices, viendo vídeos) --> Aprendes/repasas
2.Bombillas (respondiendo preguntas de otros usuarios) --> Aprendes/ayudas/repasas
3.Banderas (pinchando sobre la bandera roja en una pregunta/respuesta y eligiendo uno de los motivos por los que crees
que es incorrecta/inapropiada/mal expresada) --> Ayudas a la fluidez/efectividad del foro avisando sobre las preguntas mal formuladas/fuera de lugar o respuestas incorrectas
Cuantos más elementos acumules, mejor será tu rango en el ranking https://www.unicoos.com/ranking y sobretodo más ayudarás y aprenderás
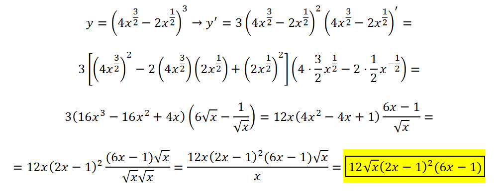
hola queria saber si me podrian ayudar a simplificar una derivada para que quede como el resultado del libro
llevo dias intentando pero no e podido reducirla tambin hice que 1/√x multiplique con el conjugado para que quedara
√x / x luego multiplicar cruzado con el 6√x para que me quedara: (6√x*x - √x) / x y ahi podria sacar como comun √x no?
para que me quedara √x*(6x-1)/x pero hasta ahi pude llegar y no se si he hecho mal algun paso atras.
tengo que llegar a esta exprecion.
Hola. Pueden ayudarme con esta integral?
Al usar la formula de la función gamma no me sale.
Esa es la respuesta.

¡Hola! Nos encantaría ayudarte, pero no solemos responder dudas universitarias que no tengan que ver específicamente con los vídeos que David ha grabado como excepción. O de otras asignaturas que no sean Matemáticas, Física y Química. Lo sentimos de corazón… Esperamos que lo entiendas.
Ojalá algún unicoo universitario se anime a ayudarte (de hecho, lo ideal es que todos los universitarios intentarais ayudaros los unos a los otros).