Foro de preguntas y respuestas de Matemáticas

logo beUnicoos
Los foros de unicoos se han unificado en nuestra nueva plataforma beUnicoos. Para dejar nuevas preguntas deberás hacerlo allí, donde además podrás encontrar nuevas asignaturas y herramientas para ayudarte más con tus estudios.

  • icon

    daniel mayo
    el 9/7/17

    hola, necesito ayuda para escribir el termino general de la siguiente sucesion:

    1/2,1.3/2.4 , 1.3.5/2.4.6, 1.3.5.7/2.4.6.8, .......

    replythumb_up0 voto/sflag
    icon

    Nico
    el 9/7/17

    Hola Daniel, podrías poner foto del ejercicio?

    thumb_up1 voto/sflag
    icon

    César
    el 9/7/17

    (2n-1)/2n 

    thumb_up0 voto/sflag
  • icon

    Florencia
    el 9/7/17

    Como opero en el siguiente ejercicio, Z2 = 4.(890) - 2.(2270) ?  en particular quiero saber si el 4 y el 2 multiplicarían solo al modulo o también al argumento, o me conviene mas pasar a forma binomica?

    replythumb_up0 voto/sflag
    icon

    César
    el 9/7/17

  • icon

    Gabriel Mendez
    el 9/7/17

    Hola, en el primer ejercicio en la parte b) y c) no las pude resolver porque no se si puedo comprobar si son subespacios o no con las operaciones de suma y multiplicación.

    Y el ultimo la verdad, que no entendí como hacerlo.

    Por favor, si podrían decirme como empiezo o que uso para continuarlo yo después, gracias.

    replythumb_up0 voto/sflag
    icon

    Antonius Benedictus
    el 9/7/17


    thumb_up1 voto/sflag
  • icon

    Juan Yannuzzi
    el 9/7/17

    GRACIAS DAVID!!! Tengo 41 años y cursé 5to semestral en el liceo 9 de colón (Montevideo, Uruguay) después de 24 años de "inactividad". Acabo de aprobar con 10! y sos uno de los "culpables"!! Gracias nuevamente y saludos!!.

    replythumb_up3 voto/sflag
    icon

    Antonius Benedictus
    el 9/7/17

    Nuestra enhorabuena, Juan.

    thumb_up0 voto/sflag
  • icon

    Joaquin Berardi
    el 8/7/17

    1. Puedo calcular una determinante en un sistema de ecuaciones no cuadradas? (3x5) ?
    2. Hay restricciones para usar Cramer o Gauss en sistemas no cuadrados (3x5) ?
    3. Para resolver este tipo de problemas es mejor usar Cramer o Gauss? Cuándo conviene usar cada uno? Hay casos en los que no se pueda aplicar?
    4. Que pasa si un determinante es cero? se pueden calcular las incógnitas del sistema igual o es indeterminado?

    replythumb_up0 voto/sflag
    icon

    Antonio
    el 8/7/17

    1. No

    2. Cramer no lo podrías usar.

    3. Cramer no lo puedes usar.

    4. el sistema no sería determinado (solución única), puede ser indeterminado (muchas soluciones) o incompatible (sin solución)

    thumb_up2 voto/sflag
    icon

    Antonius Benedictus
    el 8/7/17

    El método de Gauss se puede usar siempre.

    La regla de Cramer solo la puedes usar si el sistema es cuadrado y su determinante es distinto de 0.

    Si el determinante es 0 tienes que estudiar los rangos y decidir qué ecuaciones sobran y/o qué incógnitas son libres.



    thumb_up2 voto/sflag
    icon

    Antonio
    el 8/7/17

    Mejor, sube el sistema, y te contamos como lo podrías afrontar.

    thumb_up1 voto/sflag
    icon

    Joaquin Berardi
    el 8/7/17

    El problema es el suguiente

    Yo hice esto para comenzar a resolverlo:

    Lo que ahora no se es como seguir para hallar los valores de las incógnitas

    thumb_up0 voto/sflag
    icon

    Antonius Benedictus
    el 8/7/17


    thumb_up1 voto/sflag
    icon

    Joaquin Berardi
    el 9/7/17

    Muchisimas gracias! es necesario que cambie el nombre de Z y W ? o puedo escribir que Z y W son indeterminados y que existen en los reales?

    thumb_up0 voto/sflag
    icon

    Joaquin Berardi
    el 9/7/17

    Este es otro problema, entiendo que son los mismos pasos, pero como despejo T al final? simplemente busco los ceros en esa fila? que sucesde si no logro dejarla en cero, tengo que despejar como el ejercicio anterior? 


    thumb_up0 voto/sflag
    icon

    Antonius Benedictus
    el 9/7/17


    thumb_up2 voto/sflag
    icon

    Joaquin Berardi
    el 10/7/17

    Me podrias explicar porque haces F1-2.F2 ? no es innecesario?

    thumb_up0 voto/sflag
  • icon

    Carlos Ojeda
    el 8/7/17

    hola, si tengo AB(C'+CD), una posible simplificación sería esta no? AB.(C'+D)

    Gracias

    replythumb_up0 voto/sflag
    icon

    Antonio
    el 8/7/17

    AB(C'+CD)=ABC'+ABCD

    thumb_up1 voto/sflag
  • icon

    jorge gonzalez
    el 8/7/17

    Por favor su ayuda con estás ecuaciones trigonometricas, es para una práctica de la universidad y solo me faltan esas 2



    replythumb_up0 voto/sflag
    icon

    Antonio
    el 8/7/17

    en la primera sustituye t=cosθ quedando 4t2-4t+1=0 que al resolver da t=1/2 con lo que  cosθ=1/2 y por lo tanto θ=π/3 rad y θ=5π/3 rad 



    thumb_up0 voto/sflag
  • icon

    Marcos
    el 8/7/17
    flag

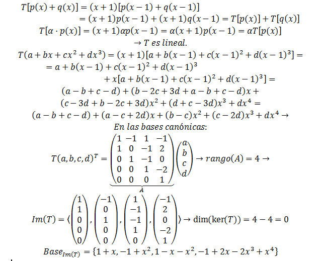
    Hola, tengo dudas con Algebra de universidad (transformación lineal), si me pueden ayudar con estos ej se los agradeceria muchisimo: 





    replythumb_up0 voto/sflag
    icon

    Antonius Benedictus
    el 8/7/17


    thumb_up0 voto/sflag
    icon

    Antonius Benedictus
    el 8/7/17


    thumb_up0 voto/sflag
    icon

    Marcos
    el 8/7/17

    Muchas gracias.. Una pregunta, a que llamas "ker"? 

    thumb_up0 voto/sflag
    icon

    Antonius Benedictus
    el 8/7/17

    El ker (de "kernel") es el núcleo (o espacio nulo) de una transformación lineal (u "homomorfismo")

    thumb_up0 voto/sflag
  • icon

    Ignacio
    el 8/7/17

    Hola buenas,me preguntaba si en 2do de bachillerato entra la posición relativa de tres planos?

    replythumb_up0 voto/sflag
    icon

    Antonius Benedictus
    el 8/7/17

    Entra.



    thumb_up0 voto/sflag
  • icon

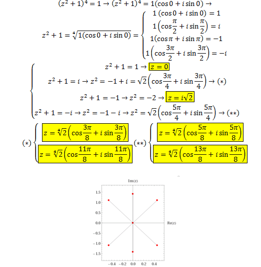
    Florencia
    el 8/7/17

    Hola, me tomaron este ejercicio en un examen final, estuve mirando los vídeos sobre complejos pero no logro resolverlo, si me pueden decir en que me estoy equivocando me serian de mucha ayuda.

    Dice: determinar todos los Z pertenecientes a Complejos que satisfacen : (Z2 + 1)4 = 1


    replythumb_up0 voto/sflag
    icon

    Antonius Benedictus
    el 8/7/17


    thumb_up0 voto/sflag
    icon

    Antonius Benedictus
    el 8/7/17

    Disculpa, me comí una solución:


    thumb_up1 voto/sflag