
¡Hola! Nos encantaría ayudarte, pero no solemos responder dudas universitarias que no tengan que ver específicamente con los vídeos que David ha grabado como excepción. O de otras asignaturas que no sean Matemáticas, Física y Química. Lo sentimos de corazón… Esperamos que lo entiendas.
Ojalá algún unicoo universitario se anime a ayudarte (de hecho, lo ideal es que todos los universitarios intentarais ayudaros los unos a los otros).
Estos cálculos están bien?
Problema: http://imgur.com/vXOwV2M
Desarrollo:
Nos queda un cuadrado interno de lado a√2.
Ecuaciones:
a√2=h1+h2 (1)
a√2=h3+h4 (2)
28-a²/2=a√2h1/2 (3)
x-a²/2=a√2h2/2 (4)
32-a²/2=a√2h3/2 (5)
16-a²/2=a√2h4/2 (6)
Tengo 6 ecuaciones y 6 incógnitas, utilizando la reducción:
(5)+(6) ; -2a²/2-a√2*(h3+h4)/2+48=0 y sustituyendo (2):
-2a²+48=0 ; 2a²=48; a²=√(48/2) ; a=√24; a≈4,8989794855663561963945681494118
El area total del cuadrado debería ser 2a*2a=96 cm²
96-32-28-16 = x = 20 cm²
Hola, tengo un problema de mates, alguien me podría ayudar?
El problema es el siguiente:
como encuentro tres numeros consecutivos, tales que restando el doble del mayor, al triple de la suma de los dos primeros, de como resultado 527.
yo habia hecho: 3(x+x+1) - 2(x+2)=527, pero creo que no es correcto...
Gracias
Hola, tengo un hermano en 3 ESO que no ha superado la materia y le ha quedado para septiembre. Yo lo estoy ayudando en muchos temas que controlo y que estudiando los vídeos de Unicoos, luego puedo entender y explicar correctamente. Pero también tengo algunas dudas con respecto a algunos problemas de un libro de ejercicios de repaso y que con los resultados, aún así no sabemos el procedimiento para que nos de el resultado correcto. En concreto, el problema va sobre el tema de números racionales y fracciones y problemas con el mismo. Os planteo el problema, haber si me podéis ayudar con la resolución del mismo.
Ayer, Paula llenó un tercio de una piscina. Hoy ha añadido dos quintos de lo que quedaba sin llenar. Si aún faltan 400 L para llenar por completo la piscina, ¿cuál es su capacidad?
El resultado deben ser 1000 L, pero no hay manera de que nos de ese resultado.
Muchas gracias de antemano.
Un saludo.
Para cuando puedan mirarme este ejercicio, lo tengo corregido pero es que no me aclaro.
4. Calcula las restantes razones del ángulo alfa sabiendo que:
Esta es la solución que me plantea mi profesora pero es que no lo veo la verdad.
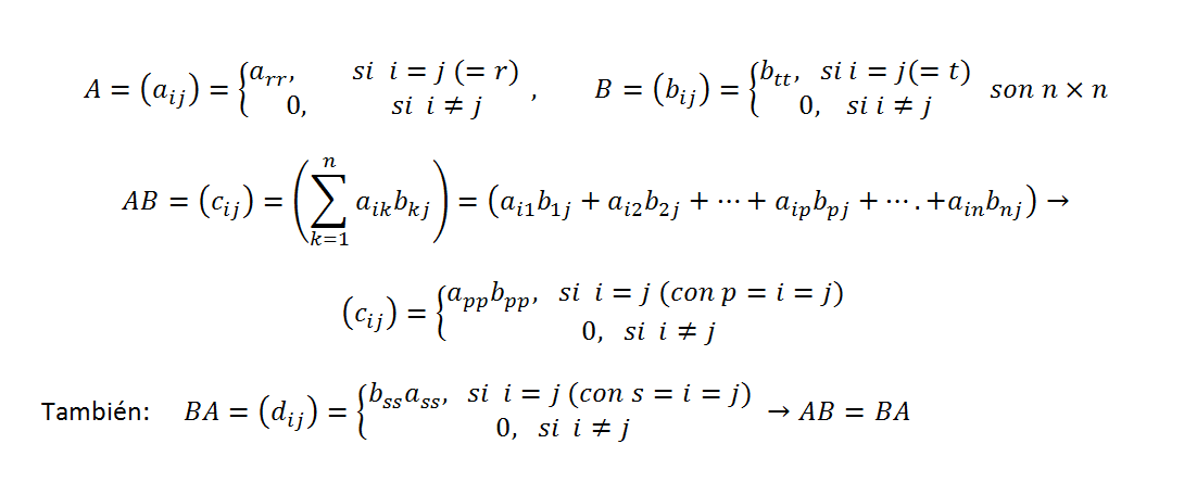
Averigua si la siguiente afirmación es cierta o no lo es. Demuestra si es cierta o da un contraejemplo si es falsa.
Dos matrices diagonales del mismo orden siempre conmutan.