Buenas días!! Una pregunta: dos potencias de la misma base con distinto exponente que se están sumando, cómo se suma? Por ejemplo: 2∧3 + 2∧5. En este caso podría resolverse la potencia porque la base es 2 y es fácil, pero y si el exponente fuera una fracción a lo 5/4 o algo del estilo? Gracias!
Ayudadme con este ejercicio:
Se quieren poner losas cuadradas a un salón de celebraciones de 18m de largo y 12m de ancho. Si quiero qué las losetas sean del mayor tamaño posible. ¿Cuánto deben medir?
(A mí me salió esta solución)
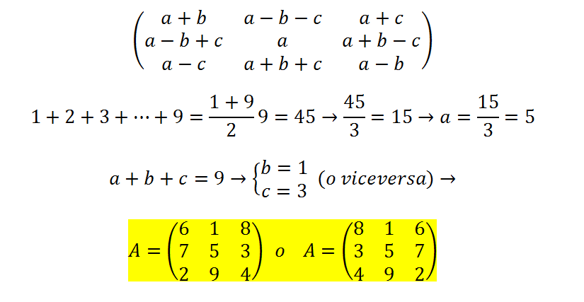
Una matriz mágica es una matriz cuadrada en qué todas las filas, columnas y las dos diagonales suman un cierto valor σ.
Construid una matriz mágica de orden tres con los números naturales del 1 al 9.
He intentado buscar en internet sobre lugares geométricos y sus formulas, ya saben, como calcular el baricentro, el circuncentro, el ortocentro, la mediana, la mediatriz y la bisectriz si los datos que tienes son tres puntos (x,y) que forman un triángulo. ¿Me lo pueden explicar por favor? Es que necesito las fórmulas para mi examen de recuperación de mates... (si respondes a ésta pregunta y no me doy cuenta te agradezco ahora por adelantado, gracias)

Gracias por el dibujo, fijate que al ser BP bisectriz, BP divide al ang ABC a la mitad, i.e. el ang ABP=45º=CBP
Notemos que se forma el triangulo ABP, luego sumando sus angulos sabemos que debe resultar 180, es decir
BAP+ABP+APB=180, pero BAP=75 y ABP=45 entonces APB=180-120=60
Notemos ahora que APB y CPB son suplementarios, entonces APB+CPB=180, luego CPB=180-60=120
Observemos que CPB y APQ son opuestos por el vertice, por esta razon APQ=CPB=120 y analogamente APB y QPC son opuestos por el vertice, luego QPC=APB=60
Notemos el triangulo APQ, sabemos que la suma de sus ang internos es 180, i.e.
PAQ+APQ+AQP=180, sabemos que PAQ=30 y APQ=120, luego AQP=180-150=30
Notemos ahora el triangulo PQC, sabemos que la suma de sus ang internos es igual a 180, i.e.
CQP+CPQ+QCP=180, sabemos que CPQ=60, entonces
CQP+QCP=120
Veamos el cuadrilatero ABQC, veamos que la suma de los angulos
BAQ+AQC+QCB+CBA=105+(30+CQP)+(QCP+15)+90=240+CQP+QCP y sabemos que CQP+QCP=120, entonces la suma =360
De ahi se sigue que ABQC es un cuadrilatero ciclico, es decir podemos dibujar una circunferencia tal que pase por los puntos A,B,Q,C y una propiedad de esta circunferencia es que un par de angulos opuestos son suplementarios, en este caso, tenemos que
ABC+AQC=180, sabemos que ABC=90 y AQC=30+CQP, entonces
120+CQP=180, entonces CQP=180-120=60, analogamente podemos encontrar QCP que es lo que nos pide el ejercicio
Sabemos que BAQ+BCQ=180 al ser opuestos y BAQ=105 Y BCQ=15+QCP
120+QCP=180, entonces QCP=60
nos cuentas si hay mas dudas
Saludos equipo unicos. Que tal
Del problema propuesto ¿Como puedo hallar la suma de los cosenos?
Gracias de antemano

Vamos con una orientación.
Observa que en la identidad del enunciado, tienes que los argumentos finales de los cosenos son la suma y la resta de los argumentos iniciales, respectivamente,
y observa que la identidad puede escribirse:
cos(x/2)*cos(x/4) = (1/2)*( cos(3x/4) + cos(x/4) ) = (1/2)*cos(3x/4) + (1/2)*cos(x/4) (1).
Luego, observa que para los dos últimos factores de la expresión a tratar tienes:
cos(x/8)*cos(x/16) =
aplicas la sustitución (cambio de variable): u = x/4, de donde tienes: 4u = x y queda:
= cos(u/2)*cos(u/4) =
aplicas la identidad señalada (1) y queda:
= (1/2)*cos(3u/4) + (1/2)*cos(u/4) =
vuelves a sustituir y queda:
= (1/2)*cos(3x/16) + (1/2)*cos(x/16) (2).
Luego, tienes la expresión a tratar:
cos(x/2)*cos(x/4)*cos(x/8)*cos(x/16) =
sustituyes los dos primeros factores por la expresión señalada (1), los dos últimos por la expresión señalada (2), y queda:
= ( (1/2)*cos(3x/4) + (1/2)*cos(x/4) ) * ( (1/2)*cos(3x/16) + (1/2)*cos(x/16) ) =
distribuyes y queda:
= (1/4)*cos(3x/4)*cos(3x/16) + (1/4)*cos(3x/4)*cos(x/16) + (1/4)*cos(x/4)*cos(3x/16) + (1/4)*cos(x/4)*cos(x/16) =
designa a cada uno de los términos de la expresión y quedan:
= A + B + C + D (3).
Luego, plantea la identidad del enunciado para cada término por separado y tienes:
A = (1/4)*( (1/2)*cos(15x/16) + (1/2)*cos(9x/16) ) = (1/8)*cos(15x/16) + (1/8)*cos(9x/16) (A*),
B = (1/4)*( (1/2)*cos(13x/16) + (1/2)*cos(11x/16) ) = (1/8)*cos(13x/16) + (1/8)*cos(11x/16) (B*),
C = ( (1/2)*cos(7x/16) + (1/2)*cos(x/16) ) = (1/8)*cos(7x/16) + (1/8)*cos(x/16) (C*),
D = ( (1/2)*cos(5x/16) + (1/2)*cos(3x/16) ) = (1/8)*cos(5x/16) + (1/8)*cos(3x/16) (D*),
Luego, solo queda que sustituyas las expresiones señaladas (A*) (B*) (C*) (D*) en la expresión señalada (3) para concluir la tarea.
Espero haberte ayudado.
Buen día. Ayuda por favor. No entiendo muy bien que digamos el tema. Y en el contenido de unicoos estaría genial - guay si estuviese.
Gracias

Nota que los ang AEC=BED por ser opuestos en el vertice E, ademas los ang. ACB=ADB pues comparten el mismo arco, que es el AB, por tanto, los triangulos ACE y BED son semejantes, pues ya tienen un par de angulos iguales, no queda mas que en el tercero tambien sean iguales, es decir que los ang CAE=EBD
Ahora, como el lado opuesto al ang AEC es AC y el lado opuesto al ang BED es BD y ya sabemos que AEC=BED , se tiene que AC/BD=k, siendo k la constante de semajanza entre los triangulos ACE y BED
Ademas como el lado opuesto al ang CAE es CE y el lado opuesto al ang EBD es ED y sabemos que CAE=EBD, entonces CE/ED=k
Luego se sigue que AC/BD=CE/ED nota que los segmentos que estan en la parte de arriba de ambas fracciones son segmentos del mismo triangulo, el ACE y mientras que los segmentos que estan debajo son segmentos del otro triangulo, el EBD, no se valdria "mezclarlos" es decir, poner uno arriba y otro abajo...
Ahora como AC=2, CE=1,ED=2,ent
2/BD=1/2, de aqui se sigue que BD=4 cm
Si tienes mas dudas, nos avisas
Hola amigos de unicoos...
Alguien por favor ayúdeme alguien con el siguiente enunciado.. sobre cuerpos geométricos..
Saludos y bendiciones...

Haz un dibujo de las bases de ambos cuerpos, y verás que la base del prisma (cuadrado) está inscrito a la base del cilindro (circunferencia),
por lo que tienes la relación entre la diagonal de la base del prisma es igual al doble del radio del cilindro:
d = 2r,
luego, sustituye (observa que aplicamos el Teorema de Pitágoras) en el primer miembro y queda:
d = √(2)L,
igualas ambas expresiones y queda:
2r = √(2)L, de donde puedes despejar:
2r/√(2) = L, (1).
Luego observa que el prisma y el cilindro tienen alturas iguales:
h = 2r (2).
Luego, el volumen del prisma queda:
Vp = L2*h = sustituyes = ( 2r/√(2) )2*2r = (4r2/2)*2r = 2r2*2r = 4r3.
Espero haberte ayudado.