hola , podrian ayudarme con un problema de optimizacion:
Dado el punto P0 (2,3), hallar la ecuacion de la recta que pasa por P0 y forma con los semiejes positivos el triangulo de menor area.
Hola, buenas tardes,
Estoy intentando entrar en la pestaña de material adicional y me indica que debo ser pro
En marzo del presente año me hice pro pagando la cantidad de 10 euros por lo que entendia que tenia a mi disposicion el material durante 6 meses.
Ruego verifiquen mi inscripcion y subsanen el error o me informen del motivo por el que no puedo acceder.
Gracias

a)
Puedes plantear:
f(0,0+h) = f(0,h) = 5*h*02/(04+3*h2) = 0/(3*h2) = 0;
f(0,0) = 5.
Luego plantea el incremento de la función:
f(0,0+h) - f(0,0) = 0 - 5 = - 5.
Luego plantea el cociente incremental:
( f(0,0+h) - f(0,0) ) / h = (0 - 5)/h = - 5/h.
Luego plantea el límite del cociente incremental:
fy (0,0) = Lím(h→0) ( f(0,0+h) - f(0,0) )/h = Lím(h→0) (-5/h) = no existe.
Luego, tienes que la función derivada parcial con respecto a y no está definida en el origen de coordenadas.
b)
Como la función derivada parcial con respecto a y no está definida en el origen,
tienes que es discontinua inevitable en el origen de coordenadas,
y observa que puedes plantear, con reglas de derivación,
cuál es la expresión para los demás puntos de R2:
fy(x,y) = ( 5*x2*(x4 + 3*y2) - 5*y*x2*6*y ) / (x4 + 3*y2)2 = (5*x6 - 15*x2*y2) / (x4 + 3*y2)2 =
= 5*x2*(x4 - 3*y2) / (x4 + 3*y2)2.
Luego, puedes plantear los límites iterados:
Lím(y→0) ( Lím(x→0) ( 5*x2*(x4 - 3*y2) / (x4 + 3*y2)2 ) = Lím(y→0) ( 0 / 9*y4 ) = 0;
Lím(x→0) ( Lím(y→0) ( 5*x2*(x4 - 3*y2) / (x4 + 3*y2)2 ) = Lím(x→0) ( 5*x6 / x8 ) = Lím(x→0) ( 5 / x2 ) = no existe.
Luego puedes concluir que la función derivada primera con respecto a y presenta discontinuidad esencial (o inevitable) en el origen de coordenadas.
Espero haberte ayudado.

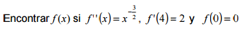
Tienes la expresión de la derivada segunda de la función:
f ' ' (x) = x-3/2,
luego integras y queda:
f ' (x) = - 2*x-1/2 + C,
luego planteas la condición inicial:
f ' (4) = 2, reemplazas valores y queda:
- 2*4-1/2 + C = 2, haces pasaje de término y queda:
C = 2 + 2*4-1/2 = 2 + 2*(1/2) = 2 + 1 = 3,
luego reemplazas en la expresión de la derivada primera y queda:
f ' (x) = - 2*x-1/2 + 3,
Luego, integras nuevamente y tienes:
f(x) = - 4*X1/2 + 3*x + D,
luego planteas la condición inicial:
f(0) = 0, reemplazas valores y queda:
- 4*01/2 + 3*0 + D = 0, resuelves términos y queda:
D = 0,
luego reemplazas en la expresión de la función y queda:
f(x) = - 4*X1/2 + 3*x + 0, cancelas el término nulo y queda:
f(x) = - 4*X1/2 + 3*x.
Espero haberte ayudado.
Sea A 4x4, A Adj A=det(A)I, por lo tanto det(A Adj A)=(det(A))4
¿Algún Unicoo que me explique como se llega a esa igualdad? Gracias de antemano