Hola de nuevo estimados amigos de unicoos, os ruego ayuda con un problema que implica áreas sombreadas, me piden el perímetro de una de las circunferencias tangentes.
No tengo ni idea de como calcularla y solo tengo como información el área del cuadrado.
Muchisisimas gracias de antemano. Saludos. ;)
Hola Unicoos! Me podrían ayudar a resolver este ejercicio? Regla de L´Hopital: Límite cuando "x" tiende a + infinito de (lnx/x) elevado a 1/x. Gracias. Saludos!

Tienes en el argumento del límite:
f(x) = (lnx / x)1/x,
y observa que la base de la expresión tiende a + infinito, y que el exponente tiende a cero por la derecha, por lo que el límite es indeterminado.
Luego, plantea el logaritmo natural de la expresión y queda:
ln( f(x) ) = ln( (lnx / x)1/x ) = (1/x)*ln( lnx /x ) = (1/x)*( ln(lnx) - lnx ) = ( ln(lnx) - lnx )/x.
Luego, aplicas la Regla de L'Hôpital, y derivas por separado al numerador (N) y al denominador (D) de la expresión remarcada, y queda:
N ' = (1/lnx)*(1/x) - 1/x = (1 - lnx) / (x*lnx),
D ' = 1;
luego, tienes:
Lím(x→+∞) ln( f(x) ) = Lím(x→+∞) ( (1 - lnx) / (x*lnx) ) / 1 = Lím(x→+∞) (1 - lnx) / (x*lnx),
y observa que es indeterminado, por lo que vuelves a aplicar la Regla de L'Hôpital y queda:
Lím(x→+∞) ln( f(x) ) = Lím(x→+∞) (- 1/x) / (lnx + 1) = Lím(x→+∞) -1 / x*(lnx + 1) = 0,
luego, con los miembros remarcados tienes la ecuación:
Lím(x→+∞) ln( f(x) ) = 0,
aplicas la propiedad del límite de una composición de funciones (observa que el logaritmo es una función continua) y queda:
ln( Lím(x→+∞) f(x) ) = 1, compones en ambos miembros con la función inversa del logaritmo natural y queda:
Lím(x→+∞) f(x) = e0= 1.
Espero haberte ayudado.
En un triángulo rectángulo de lados 8, 15 y 17. Se traza la mediatriz correspondiente a la hipotenusa y se forma un nuevo triángulo. El perímetro de este nuevo triángulo en fracción simplificada es:
Ayuda por favor unicos, salvenme gracias de antemano
Hola Unicoos, me dirían cual es el error en el siguiente ejercicio? Lo que me di cuenta es que al encontrar el complemento del resultado, es decir de .10001, me daría 1.01111, que si lo paso a decimal me darían los 47/32, aunque me quedarian positivo igualmente y tiene que ser negativo. Si me dan una mano se los agradezco.
Gracias, saludos

¡Hola! Nos encantaría ayudarte, pero no solemos responder dudas universitarias que no tengan que ver específicamente con los vídeos que David ha grabado como excepción. O de otras asignaturas que no sean Matemáticas, Física y Química. Lo sentimos de corazón… Esperamos que lo entiendas.
Ojalá algún unicoo universitario se anime a ayudarte (de hecho, lo ideal es que todos los universitarios intentarais ayudaros los unos a los otros).
Buenas gente.
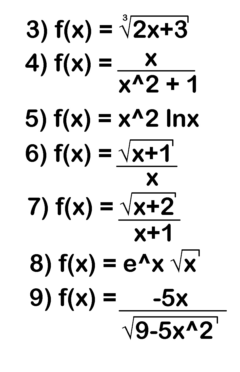
Alguien que me recomiende un libro de donde sacar ejercicios de derivadas.
Gracias de antemano, cracks! ✌✌😀

https://www.matematicasonline.es/pdf/ejercicios/1%C2%BABach%20Cienc/Ejercicios%20de%20derivadas2.pdf
https://www.derivadas.es/

¿Alguno en particular que te cause conflicto?
Para el 1
https://www.unicoos.com/video/matematicas/1-bachiller/derivadas/definicion-de-derivada/derivada-utilizando-la-definicion-01
Para el 2 no hay algun video en particular que recuerde, pero puedes recordar que la aceleracion es la derivada de la velocidad, luego, si derivas la velocidad con respecto al tiempo quedará 100/17 m/s2, que no depende de alguna "t", por lo tanto es constante, luego en t=5, la aceleracion es 100/17m/s2
Para el 3
https://www.unicoos.com/video/matematicas/2-bachiller/aplicaciones-de-las-derivadas/recta-tangente-y-normal/ecuacion-recta-tangente-02
Para el 4
https://www.unicoos.com/video/matematicas/1-bachiller/derivadas/regla-de-la-cadena/derivada-de-una-multiplicacion-y-una-division-01
Para el 5 te sirve el video anterior y este para checar las derivadas
https://www.unicoos.com/video/matematicas/1-bachiller/derivadas/regla-de-la-cadena/derivada-de-una-funcion-05-regla-de-la-cadena
En ciualquier caso, intentalo y nos cuentas
Ayuda. Es acerca de cambios de base y la matriz asociada. Vi los videos pero aun hay alguna duda
Intente hacer de B a B' pero no saque el resultado. Gracias !!