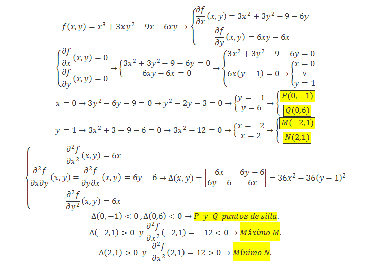
Hola necesito que me ayuden con un ejercicio de gradiente
usar gradiente para hallar un vector normal a la grafica de la ecuacion en el punto indicado
4x^2-y=6 (2,3)

Observa que la gráfica corresponde a una curva de nivel de la función cuya expresión es:
f(x,y) = 4x2 - y,
que es diferenciable en R2.
Luego, las expresiones de sus derivadas parciales son:
fx = 8x, que evaluada en el punto de estudio queda: fx(2,3) = 4*2 = 8;
fy = - 1, que evaluada en el punto de estudio queda: fy(2,3) = - 1.
Luego, de acuerdo con la propiedad del gradiente, que es perpendicular en todo punto a las curvas de nivel de la función, tienes:
u = < fx(2,3) , fy(2,3) > = < 8, -1 >,
que es un vector normal (perpendicular) a la gráfica del enunciado en el punto indicado.
Espero haberte ayudado.