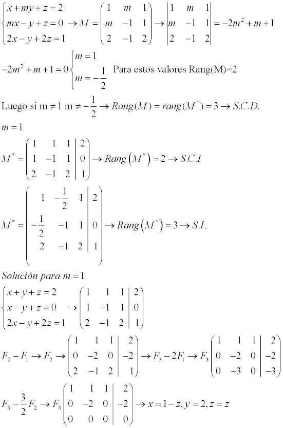
Un ladrón es perseguido por la policia y llega a un garaje que tiene dos puertas . Una de las puertas conduce a un recinto A donde hay 5 coches de los cuales solo 3 tienen gasolina ; la otra condice a un recinto B donde hay 4 coches, y solo uno tiene gasolina. El ladron elige al azar una puerta, y luego un coche . ¿Cual es la probabilidad de que escape?

Plantea las coordenadas de un punto genérico perteneciente a la recta:
A( 5+μ , μ , -2-2μ ).
Luego, plantea los cuadrados de las distancias entre el punto A y los puntos dados:
d(P,A)2 = ( 5+μ - 1)2 + ( μ - 0 )2 + ( -2-2μ + 1 )2 = (μ + 4)2 + μ2 + (-2μ - 1)2,
d(Q,A)2 = ( 5+μ - 2)2 + ( μ - 1 )2 + ( -2-2μ - 1 )2 = (μ + 3)2 + (μ - 1)2 + (-2μ - 3)2,
luego, igualas y queda la ecuación:
(μ + 4)2 + μ2 + (-2μ - 1)2 = (μ + 3)2 + (μ - 1)2 + (-2μ - 3)2,
desarrollas términos y queda:
μ2 + 8μ + 16 + μ2 + 4μ2 + 4μ + 1 = μ2 + 6μ + 9 + μ2 - 2μ + 1 + 4μ2 + 12μ + 9,
haces pasajes de términos (observa que tienes cancelaciones) y queda:
- 4μ = 2,
haces pasaje de factor como divisor y queda:
μ = - 1/2.
Luego reemplazas en las ecuaciones paramétricas de la recta y queda:
x = 5 - 1/2 = 9/2
y = - 1/2
z = - 2 + 1 = - 1.
Luego, tienes que el punto A(9/2,-1/2,-1) pertenece a la recta y equidista de los puntos P y Q.
Espero haberte ayudado.
Hola necesito ayda con este ejercicio por favor no se como plantear los radios correctamente en el tramo que va de 1/16 a 3 tome como radio mayor 1+(√3-y -1) cuando giraen x=-1 es uno mas lo función o uno mas la función porque ?

¡Hola! Nos encantaría ayudarte, pero no solemos responder dudas universitarias que no tengan que ver específicamente con los vídeos que David ha grabado como excepción. O de otras asignaturas que no sean Matemáticas, Física y Química. Lo sentimos de corazón… Esperamos que lo entiendas.
Ojalá algún unicoo universitario se anime a ayudarte (de hecho, lo ideal es que todos los universitarios intentarais ayudaros los unos a los otros).


a)
Puedes definir:
x = t, luego sustituyes en la ecuación cartesiana implícita de la recta y queda:
2t + 3y - 12 = 0, haces pasajes de términos y queda:
3y = - 2t + 12, divides por 3 en todos los términos y queda:
y = (-2/3)t + 4,
luego tienes las ecuaciones cartesianas paramétricas de la recta r:
x = t
y = (-2/3)t + 4,
luego despejas t en la segunda ecuación y queda:
(y - 4)/(-2/3) = t,
luego igualas con la expresión de la primera ecuación remarcada y queda:
x = (y - 4)/(-2/3), luego reescribes el primer miembro en forma conveniente y queda:
(x - 0)/1 = (y - 4)(-2/3), que es la ecuación cartesiana continua (o simétrica) de la recta r.
b)
Tienes la ecuación cartesiana continua de la recta s, igualas cada miembro a m y quedan:
(x - 3)/4 = m, de donde puedes despejar: x = 3 + 4m,
(y + 1)/1 = m, de donde puedes despejar: y = - 1 + m,
luego tienes las ecuaciones cartesianas paramétricas de la recta s:
x = 3 + 4m
y = - 1 + m.
Haces pasaje de divisor como factor en la ecuación del enunciado y queda:
(1/4)*(x - 3) = y + 1, permutas miembros y la ecuación queda:
y + 1 = (1/4)*(x - 3), escribes el segundo término del primer miembro como una resta y queda
y - (-1) = (1/4)*(x - 3), que es una forma de la ecuación "punto-pendiente" de la recta s.
c)
Puedes plantear un sistema con las ecuaciones paramétricas de las rectas:
x = t
y = (-2/3)t + 4
x = 3 + 4m
y = - 1 + m
Igualas la primera ecuación con la tercera y la segunda con la cuarta, y queda:
t = 3 + 4m (1)
(-2/3)t + 4 = - 1 + m
Sustituyes la expresión señalada (1) en la segunda ecuación y queda:
(-2/3)*(3 + 4m) + 4 = - 1 + m, multiplicas por 3 en todos los términos de la ecuación y queda:
- 2(3 + 4m) + 12 = - 3 + 3m, distribuyes en el primer término y queda:
- 6 - 8m + 12 = - 3 + 3m, haces pasajes de términos y queda_
- 11m = - 9, haces pasaje de factor como divisor y queda:
m = 9/11, reemplazas en la ecuación señalada (1) y queda:
t = 3 + 4*(9/11) = 3 + 36/11 = 69/11;
luego, reemplazas los valores de los parámetros m y t en las ecuaciones paramétricas de las rectas y queda:
para la recta r:
x = 69/11
y = (-2/3)*(69/11) + 4 = - 138/33 + 4 = - 6/33 = - 2/11;
para la recta s:
x = 3 + 4*(9/11) = 3 + 36/11 = 69/11
y = - 1 + 9/11 = - 2/11;
por lo que tienes que las rectas se cortan en el punto de coordenadas: A(69/11,-2/11).
Espero haberte ayudado.
Hola, ¿me podéis ayuar con este ejercicio de optimizacón de derivadas?
Se desea construir una caja de base cuadrada, con tapa y capacidad de 80 dm3 . Para la tapa y la superficie lateral se quiere utilizar un material que cuesta 2€/dm2 y para la base otro que cuesta 3€/dm2. Calcula las dimensiones de la caja para que su coste sea mínimo.
Buenas tardes,
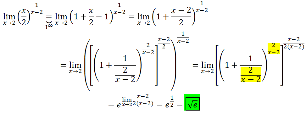
Vuelvo a tener un problema con un límite. Lim x->2 (x/2)1/(x-2). Es una indeterminación de 1^∞ y ahora no sé cómo seguir. No puedo utilizar la fórmula del número e porque es 1 más 1 partido de algo a lo que más tarde se eleva todo y en mi límite no aparece 1 más ni el denominador se asemeja en nada al exponente.
Espero su respuesta, gracias.