Foro de preguntas y respuestas de Matemáticas

logo beUnicoos
Los foros de unicoos se han unificado en nuestra nueva plataforma beUnicoos. Para dejar nuevas preguntas deberás hacerlo allí, donde además podrás encontrar nuevas asignaturas y herramientas para ayudarte más con tus estudios.

  • icon

    Facu Imfeld
    el 21/6/17

    Hola unicoos, algún unicoo universitario me podría despejar esta duda?

    Dada la función f(x,y) = 3- (x/3) - (y/2)

    Hallar Du  en f(3,2) donde u = v / ||v|| sabiendo que v = i + j, es decir los versores unitarios

    He hallado el gradiente de esta función, el cual me dió

    ∇f = (-1/3, -1/2)

    Ahora lo que no sé es si multiplicar el gradiente por el vector u o no, dado que una forma de hallar la derivada direccional en un punto, es multiplicando el gradiente por el vector unitario

    Muchas gracias de antemano!

    replythumb_up0 voto/sflag
    icon

    Cristhian Bertuline
    el 21/6/17

    Estoy exactamente haciendo lo mismo jajaja; tienes que multiplicar escalarmente el gradiente por el versor que tiene la misma direccion del vector V, que es lo que tu sacaste U.
    Tendrias que hacer que u=(u1, u2), entonces seria:
    -u/3 - u/2

    thumb_up0 voto/sflag
    icon

    Facu Imfeld
    el 21/6/17

    jaja buenisimo, pero...que representarían u1 y u2?..entiendo que son las componentes del vector unitario u, pero...es correcto decir que u1 = i / √ i           y que u2 = j / √j ????

    thumb_up0 voto/sflag
  • icon

    Martín Ramírez
    el 21/6/17

    hola gente, pido por favor una ayudita en el siguiente ejercicio

    Gracias de antemano.

    replythumb_up0 voto/sflag
    icon

    Antonius Benedictus
    el 21/6/17


    thumb_up1 voto/sflag
    icon

    Antonius Benedictus
    el 21/6/17


    thumb_up1 voto/sflag
  • Usuario eliminado
    el 21/6/17

    Como lo podría resolver:

    Alejando deposito un capital de 5000 euros durante  5 años .Al principio la tasa de interés era de 9 % y después de unos años aumento al 12 %.¿ Cuantos años estuvo el capital al 12 % si en 5 años obtuvo un interés de 2700 euros?

    replythumb_up0 voto/sflag
    icon

    Antonio
    el 21/6/17

    5000 · 1.095-x · 1.12x = 5000 + 2700

    thumb_up0 voto/sflag
  • icon

    Milena
    el 21/6/17
    flag

    Hola,unicoos me podrian decir para que lado va el sistema???? (para la izquierda o derecha)



    replythumb_up0 voto/sflag
    icon

    Axel Morales Piñón.
    el 21/6/17

    El sistema va de izquierda hacia la derecha.

    thumb_up0 voto/sflag
  • icon

    Fernando Navarro
    el 21/6/17

    Alguien me podría ayudar con esto?

    Determine la posición relativa de los siguientes objetos

    r: (x,y,z) = t(-4,0,-5)   y   π: 4x+5z+7=0

    replythumb_up0 voto/sflag
    icon

    Antonio
    el 21/6/17

    (x,y,z) = t(-4,0,-5) =>      x=-4t

                                            y=0

                                            z=-5t

    4x+5z+7=0 => 4(-4t)+5(-5t)+7=0 => -16t-25t+7=0 => 41t=7 => t=7/41

    Plano y recta se cortan en un solo punto (-28/41,0,-35/41)

    thumb_up0 voto/sflag
  • icon

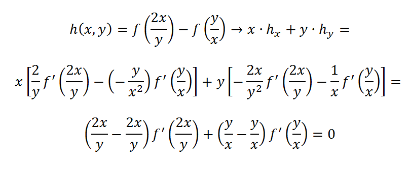
    Cristhian Bertuline
    el 21/6/17

    Hola, estoy haciendo un practico de composicion de funciones y derivadas implicitas, y me quede con la duda de como resolver esto, gracias.

    replythumb_up0 voto/sflag
    icon

    Antonius Benedictus
    el 21/6/17


    thumb_up1 voto/sflag
    icon

    Antonius Benedictus
    el 21/6/17


    thumb_up1 voto/sflag
  • icon

    Adrety Larry
    el 21/6/17


    Hola podrían ayudarme con el G5 gracias 



    replythumb_up0 voto/sflag
    icon

    Antonius Benedictus
    el 21/6/17


    thumb_up1 voto/sflag
  • Usuario eliminado
    el 21/6/17

    Buenas Unicoos...podrian corregirme?.


    replythumb_up0 voto/sflag
    icon

    Antonius Benedictus
    el 21/6/17

    Parece que está bien, José:


    thumb_up1 voto/sflag
  • icon

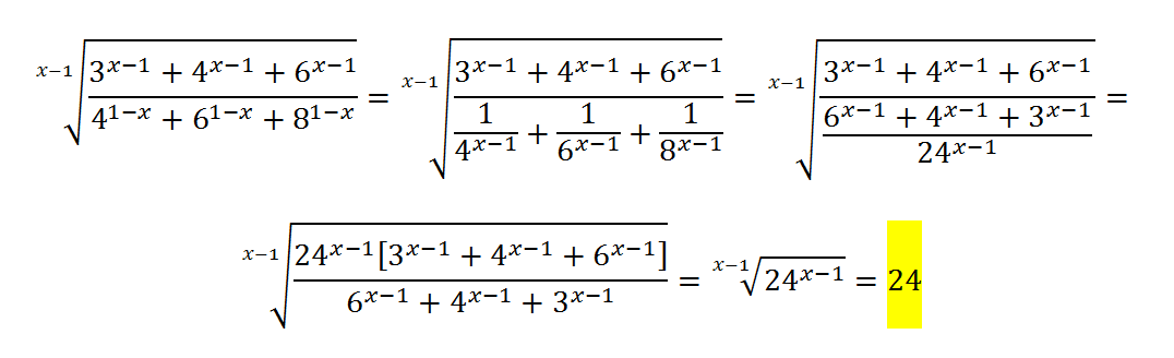
    Ismael
    el 21/6/17

    Necesito ayuda con el siguiente ejercicio.
    Simplificar la siguiente expresiòn:

    x-1√(3x-1+4x-1+6x-1)/(41-x+61-x+81-x)
    respuesta = 24
    Nota_ El radical contiene al numerador y al denominador.

    replythumb_up0 voto/sflag
    icon

    Antonius Benedictus
    el 21/6/17


    thumb_up1 voto/sflag