Necesito de nuevo ayuda, ojala apruebe las recuperaciones

Hola, tengo estas ecuaciones paramétricas:

Puedes plantear la ecuación vectorial paramétrica:
<x,y,z> = <14z/3-13/3,-6z+8,z> = <-13/3,8,0> + <14z/3,-6z,z> = <-13/3,8,0> + z*<14/3,-6,1>.
Observa que en el primer miembro tienes el vector posición de un punto genérico de coordenadas P(x,y,z), y en el primer término del segundo miembro tienes el vector posición del punto de coordenadas A(-13/3,8,0) que pertenece a la recta, y que todo otro punto de la misma se obtiene sumando un múltiplo escalar del vector cuyas componentes son:
u = <14/3,-6,1>, que es el vector director de la recta, que es la gráfica de un subespacio generado por dicho vector.
Luego, si haces pasaje de término entre los miembros remarcados en la cadena de igualdades, tienes:
<x,y,z> - <-13/3,8,0> = z*<14/3,-6,1>, luego, expresa los vectores en función de sus puntos inicial y extremo:
OP - OA = z*u, expresa la resta del primer miembro en función de su punto inicial y de su punto extremo:
AP = z*u,
por lo que tienes que cualquier vector de la recta con inicio en el punto A y extremo en un punto genérico de la recta es múltiplo escalar del vector director.
Espero haberte ayudado.
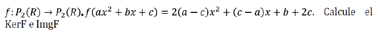
Buenas, está es una duda más bien teórica, se dice que un sistema de ecuaciones lineales es homogéneo si todos los términos independientes se anulan, por lo que siempre es comopatible, quería saber: ¿A que terminos independientes se refiere ?

Para el núcleo puedes plantear que los coeficientes son todos iguales a cero, y queda el sistema:
2(a - c) = 0
c - a = 0, de aquí puedes despejar: a = c
b + 2c = 0, de aquí puedes despejar: b = - 2c,
luego sustituyes en la primera ecuación y queda: 0 = 0,
que es una identidad verdadera, por lo que el sistema tiene infinitas soluciones, que quedan expresadas:
a = c
b = - 2c
c ∈ R.
Luego, puedes plantear la expresión de un polinomio genérico perteneciente al núcleo:
p(x) = ax2 + bx + c = sustituyes = cx2 - 2cx + c = c(x2 - 2x + 1),
por lo que tienes que una base del núcleo es: BN = { x2 - 2x + 1 },
su dimensión (o nulidad) es: dim(N) = |BN| = 1,
y el núcleo queda: N = { ax2 + bx + c ∈ P2(R) / a = c, b = - 2c }.
Para la imagen, toma un elemento genérico:
2(a - c)x2 + (c - a)x + (b + 2c) = 2ax2 - 2cx2 + cx - ax + b + 2c = ordenas términos según los coeficientes:
= 2ax2 - ax + b - 2cx2 + cx + 2c = extraes factores comunes según los coeficientes:
= a*(2x2 - x) + b*1 + c*(- 2x2 + x + 2),
luego, tienes que un conjunto generador de la imagen es:
GI = { 2x2 - x , 1 , - 2x2 + x + 2 };
luego, investiga la dependencia o independencia lineal por medio de la "combinación lineal nula":
r*(2x2 - x) + s*1 + t*(- 2x2 + x + 2) = 0*x2 + 0*x + 0, distribuyes y queda:
2r*x2 - r*x + s - 2t*x2 + t*x + 2t = 0*x2 + 0*x + 0, agrupas y factorizas según los grados y queda:
(2r - 2t)*x2 + (- r + t)*x + (s + 2t) = 0*x2 + 0*x + 0,
luego comparas términos semejantes e igualas sus coeficientes, y queda el sistema:
2r - 2t = 0
- r + t = 0, de aquí puedes despejar: t = r
- r + s + 2t = 0,
luego sustituyes la expresión remarcada en las demás ecuaciones y queda:
0 = 0, que es una identidad verdadera
r + s = 0, de aquí puedes despejar: s = - r,
por lo que tienes que el sistema tiene infinitas soluciones, que quedan expresadas:
r ∈ R
s = - r
t = r;
luego descartas el polinomio vinculado al coeficiente r en el conjunto generador, y tienes una base de la imagen:
BI = { 1 , - 2x2 + x + 2 },
cuya dimensión es: dim(I) = |BI| = 2.
Espero haberte ayudado.