Profe Este limite me cuesta mucho, segun la computadora debe salir (e exp -1/2) pero me sale ( e exp 1/2 )

La fórmula o el proceso que utilizaste no es la correcta...
Te sugiero veas estos vídeos... Límite uno elevado a infinito
Límite uno elevado a infinito sin fórmula
Nos cuentas ¿ok?
Hola, ¿como puedo pasar teniendo el módulo y el angulo en números complejos a parte real e imaginaria?
Tengo: 50*e20i (elevado a 20i). Hago el sistema de ecuaciones con 50= (a^2 +b^2 )^(1/2) y arctan (b/a)=20 pero ahí me quedo y no se como resolver el sistema. Tiene que darme 46,98 +17,10i pero el como llegar allí no se
Me he mirado los videos de cambio de bases, pero no logro hacer este ejercicio (no logro encontrar la Matriz de cambio de canónica a B):
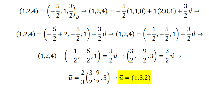
Se considera el sistema de referencia en el espacio dado por B={(1,1,0),(2,0,1),𝑢⃗)}.
a) Sabiendo que el punto (1,2,4) tiene coordenadas (-5/2, 1, 3/2) en la base B, calcular el vector 𝑢⃗ de la base B.

Puedes plantear que el punto (1,2,4) está expresado como combinación lineal de los vectores de la base del espacio vectorial:
(-5/2)*(1,1,0) + 1*(2,0,1) + (3/2)*(x,y,z) = (1,2,4)
efectúas los productos en cada término y queda:
(-5/2,-5/2,0) + (2,0,1) + (3x/2,3y/2,3z/2) = (1,2,4)
luego sumas coordenada a coordenada, igualas y queda el sistema de ecuaciones:
-5/2 + 2 + 3x/2 = 1, de aquí despejas: x = 1
-5/2 + 3y/2 = 2, de aquí despejas: y = 3
1 + 3z/2 = 4, de aquí despejas: z = 2,
luego, el vector u queda expresado:
u = (1,3,2).
Espero haberte ayudado.
Como es la semejanza de triangulos,mañana tengo el ex final y no lo se muy bien,por favor que alguien me ayude
Buenas, tengo una duda en referente a una ecuación lineal de condiciones iniciales a nivel de universidad.
La ecuación es:
(x^2+3tx+2t^2)x'=3x^2+3tx en donde x(0)=1
No sé si puedo hacerla homogénea o por el contrario hacerla directamente con la ecuación simple de condiciones iniciales.
A su vez, a la hora de hacer las simplificaciones en el caso de hacerla homogénea, no estoy segura de que estén bien, por lo que el resultado me varía según pruebe.
Os agradecería muchísimo la ayuda.
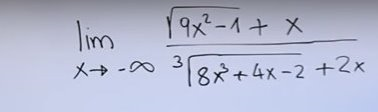
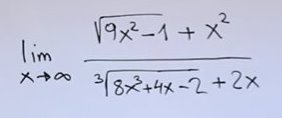
Buenas, quisiera preguntar acerca de un ejercicio del video de matemáticas de 1º de bachillerato, límite infinito entre infinito 01; en el video ''Límite cuando x tiende a infinito se intenta resolver este ejercicio cuando el límite es menos infinito, pero el ejercicio no es el mismo dado que en el ejercicio anterior en el numerador aparece +x2, mientras que en este ejercicio aparece como +x, en caso de ya haberse reportado me gustaría poder ver el resultado, dado que podría no seguir los mismos pasos.
Gracias por leer mi pregunta.
Hola buenas acabo de registrarme en unicoos os he estado siguiendo en youtube pero hasta ahora no he descubierto este foro. Bueno mi pregunta es como puedo saber la relación entre x, y, z en este ejercicio: ln z= 1-2 ln x+ 2 ln y muchas gracias de ante mano mañana tengo un examen sobre los logaritmos. Gracias a la comunidad de Unicoos.