Foro de preguntas y respuestas de Matemáticas

logo beUnicoos
Los foros de unicoos se han unificado en nuestra nueva plataforma beUnicoos. Para dejar nuevas preguntas deberás hacerlo allí, donde además podrás encontrar nuevas asignaturas y herramientas para ayudarte más con tus estudios.

  • icon

    irene
    el 19/6/17

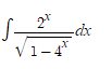
    Hola

    Alguien sabe hacer la siguiente integral?

     te dice como pista que habría que hacer un cambio de variable por 2x



    replythumb_up0 voto/sflag
    icon

    Antonius Benedictus
    el 19/6/17


    thumb_up1 voto/sflag
  • icon

    Javier Oliver
    el 19/6/17

    hola podeis resolver el ejercicio 6 porfavor


    replythumb_up0 voto/sflag
    icon

    César
    el 19/6/17


    thumb_up0 voto/sflag
  • icon

    Mario
    el 19/6/17

    Hola, soy nuevo y necesito ayuda. Soy un alumno de 4 ESO que tiene que ir a recuperaciones y necesito ayuda urgente. Es para dentro de 1 semana y son 8 temas: Álgebra, Ecuaciones, Sistemas de ecuaciones, Funciones, Funciones lineales, Estadística y probabilidad. Si alguien, profesor o alumno me puede ayudar se lo agradecería muchísimo. Gracias de antemano. PD: Dejo aquí mi correo por si alguien me contacta mario.zbz@hotmail.com

    replythumb_up0 voto/sflag
    icon

    Antonius Benedictus
    el 19/6/17

    Pues a visionar los vídeos de 4º de ESO y el correspondiente material adicional.

    Para dudas concretas, este foro.

    ¡Ánimo, Mario!

    thumb_up1 voto/sflag
  • icon

    Carlos Gallego Madrigal
    el 19/6/17

    Alguien que me resuelva el 43? Me sale ángulo de 90 grados y no está en las soluciones. 


    replythumb_up0 voto/sflag
    icon

    Antonius Benedictus
    el 19/6/17

    Pero está 270º, que también corresponde a direcciones perpendiculares.

    thumb_up1 voto/sflag
  • icon

    Paula Sánchez
    el 19/6/17

    Buenas!!

    Dóndeestá el fallo?


    replythumb_up0 voto/sflag
    icon

    Antonius Benedictus
    el 19/6/17

    Has puesto mal la fórmula del coseno del ángulo doble.

    thumb_up0 voto/sflag
  • icon

    Paula Sánchez
    el 19/6/17

    hola¡¡

    por que la cotag (360-α) = -cotagα?

    por que sec (180-α) = -secα ??


    GRACIAS



    replythumb_up0 voto/sflag
    icon

    David
    el 19/6/17

    thumb_up0 voto/sflag
    icon

    Paula Sánchez
    el 19/6/17

    Sii. Pero al meter cotag y sec ya no sé hacerlo, no lo entiendo

    thumb_up0 voto/sflag
    icon

    Guillem De La Calle Vicente
    el 19/6/17

    Mediante un dibujo es muy fácil de comprobar.

    thumb_up0 voto/sflag
    icon

    Guillem De La Calle Vicente
    el 19/6/17


    thumb_up0 voto/sflag
    icon

    Guillem De La Calle Vicente
    el 19/6/17

    En el dibujo se ve que miden lo mismo el coseno de α y de (180-α). Solo que el de 180-α es negativo.

    Y la secante es la inversa del coseno así que la secante de 180-α tambien es negativa, la multiplicas por - y ya.

    thumb_up0 voto/sflag
  • icon

    Paula Sánchez
    el 19/6/17

    hola¡¡ no entiendo por que el cos ( 90-α) = senα

    replythumb_up0 voto/sflag
    icon

    Antonius Benedictus
    el 19/6/17


    thumb_up0 voto/sflag
  • icon

    fernando
    el 19/6/17

    Como podria plantear la ecuacion? con porcentajes  no me aclaro, a ver si me poneis y asi lo veo mejor

    replythumb_up0 voto/sflag
    icon

    Antonius Benedictus
    el 19/6/17


    thumb_up0 voto/sflag
    icon

    fernando
    el 19/6/17

    Cual es la razon por la que has multiplicado 90x+45y+54z por 1/9 ?

    thumb_up0 voto/sflag
    icon

    Antonius Benedictus
    el 19/6/17

    Simplificar la ecuación (¡los dos miembros!), pues se puede hacer.

    thumb_up0 voto/sflag
    icon

    fernando
    el 19/6/17

    Y sin hacer la simplificacion puedes hacerla? O te da mal

    thumb_up0 voto/sflag
    icon

    Antonius Benedictus
    el 19/6/17

    Daría lo mismo, Fernando.

    thumb_up0 voto/sflag
    icon

    fernando
    el 19/6/17

    Muchas gracias, lo hice y me dio bien. Gracias por la ayuda en todos estos  días y aguantar las dudas tan tontas que tenia jeje mañana  a por el examen ! 

    thumb_up0 voto/sflag
  • icon

    Uma
    el 19/6/17

    Para que los sistemas sean equivalentes el conjunto solución tiene que ser el mismo verdad? A mi se me ocurrió buscar primero el conjunto solución del primer sistema y después con esos valores ir al otro sistema y buscar m. Pero en el primero sistema z me da 0, y cuando voy con ese valor al otro sistema, m se anula. No se me ocurre que otra cosa hacer...

    replythumb_up0 voto/sflag
    icon

    David
    el 19/6/17

    Los sistema son equivalentes si tienen la misma solcuion. La unica opcion posible es que m=-1, de modo que la segunda ecuacion del segundo sistema sea igual a la primera...
    P.D. La primera y tercera ecuacion son identicas en ambos sistemas...

    thumb_up0 voto/sflag
    icon

    Guillem De La Calle Vicente
    el 19/6/17


    thumb_up1 voto/sflag
    icon

    Antonius Benedictus
    el 19/6/17

    Corregido. Gracias, Guillem:


    thumb_up0 voto/sflag
  • icon

    Uma
    el 19/6/17

    Se que para que el sistema sea incompatible, el rango de la matriz de los coeficientes y el rango de la matriz ampliada tienen que ser distintos. Supuestamente la respuesta correcta es la a). Lo resolví en base a eso usando Gauss, y q sí me da distinto de cero, pero p me da 4 no 3.

    replythumb_up0 voto/sflag
    icon

    Antonius Benedictus
    el 19/6/17


    thumb_up0 voto/sflag