Tengo unos ejercicios de ecuaciones cuadraticas por fórmula general. Normalmente se realizarlas pero en este caso los valores de a,b y c no los saco de las ecuaciones sino que ya me los dan. Si tengo los 3 valores como constantes como se le aplica la fórmula general?..
Ejemplo:
1) 3x2 +2x -6=0
2)4x2 + 6x +2=0
Los valores de a=2 b=6 y C=-2
si sustituyo los valores en cada ecuacion me daria como resultado:
1)2x2+6x-2=0
2)2x2+6x-2=0
es decir las ecuaciones me quedarian iguales entonces como lo hago, ayuda por favor?

yo tampoco entiendo lo que el me pide si me da una ecuacion de segundo grado y me dice aplicale la formula general yo se hacerla o bien si me da los valores de las raices x1 y x2 se hacerla tambien que seria buscar la ecuacion que satisface esos valores, pero el profesor me da esos terminos y me dice que le aplice la formula general y de verdad que no se como hacerlo
como me doy cuenta que tiene raices imaginarias x^4+2x-15
tendrías que utilizar la regla de los signos de Descartes para analizar primero las raíces positiva y negativas y si la suma de estas no da el el grado del polinomio significa que tiene raíces complejas, por supuesto analizando todos los casos que propone.
te dejo un link donde la nombra https://es.wikipedia.org/wiki/Regla_de_los_signos_de_Descartes
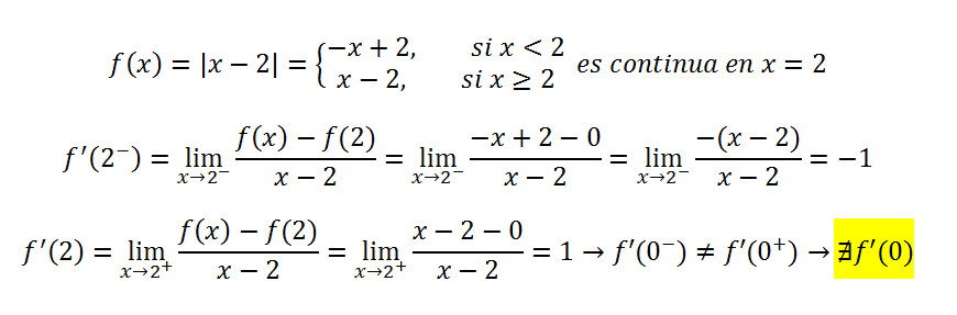
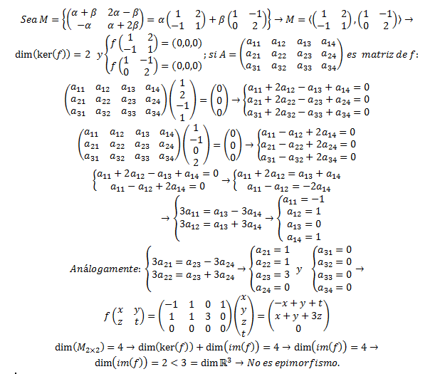
Hola, estoy repasando este ejercicio y no encuentro los apuntes por lo que me gustaría que me ayudaseis ![]()

¡Hola! Nos encantaría ayudarte, pero no solemos responder dudas universitarias que no tengan que ver específicamente con los vídeos que David ha grabado como excepción. O de otras asignaturas que no sean Matemáticas, Física y Química. Lo sentimos de corazón… Esperamos que lo entiendas.
Ojalá algún unicoo universitario se anime a ayudarte (de hecho, lo ideal es que todos los universitarios intentarais ayudaros los unos a los otros).