Ayudadme con este ejercicio por favor se que es de indeterminación infinito-infinito pero a partir de alli no se como se hace:
lim𝑥→+∞ (𝑥5+4/ 𝑥2−3 − 𝑥3+ 1/𝑥2)

Tienes en el argumento del límite:
(x5 + 4)/(x2 - 3) - (x3 + 1)/x2 = extraes denominador común = ( x2(x5 + 4) - (x2 - 3)(x3 + 1) ) / x2(x2 - 3) = distribuyes en el numerador:
= (x7 + 4x2 - x5 - x2 + 3x3 + 3) / x2(x2 - 3) = reduces términos semejantes y ordenas en el numerador, distribuyes en el denominador:
= (x7 - x5 + 3x3 + 3x2 + 3) / (x4 - 3x2) = extraes factor común x7 en el numerador y x4 en el denominador:
= x7(1 - 1/x2 + 3/x4 + 3/x5 + 3/x7) / x4(1 - 3/x2) = simplificas los factores monómicos entre el numerador y el denominador:
= x3(1 - 1/x2 + 3/x4 + 3/x5 + 3/x7) / (1 - 3/x2).
Luego, cuando calculas el límite, observa que todos los términos fraccionarios en los agrupamientos tienden a cero, por lo que los dos agrupamientos tienden a uno, y observa que el primer factor en el numerador tiende a + infinito, por lo tanto, el límite tiene por resultado + infinito.
Espero haberte ayudado.

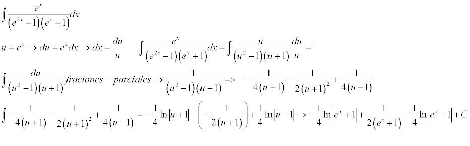
Puedes plantear la sustitución (cambio de variable):
w = ex, de donde tienes: dw = exdx, y también tienes: e2x = (ex)2 = w2.
Luego sustituyes y la integral queda:
I = ∫ 1dw / (w2-1)(w+1).
Luego, observa que debes continuar con el Método de las Fracciones Simples (te dejo una iniciación):
1 / (w2-1)(w+1) = 1 / (w-1)(w+1)(w+1) = 1 / (w-1)(w+1)2 = A/(w-1) + B/(w+1) + C/(w+1)2 = y puedes continuar la tarea.
Haz el intento, y si te resulta necesario no dudes en volver a consultar.
Espero haberte ayudado.
Buenas gente, alguien podría explicarme como realizar el estudio completo de una función, en especial la continuidad, los puntos de corte, el crecimiento y los máximos y mínimos; por ejemplo de y=2/x y y=-2/x
Hola! Necesito una breve explicación de como hallar en esta función f(x)=X3/(x+2), su crecimiento, decrecimiento, máximos, mínimos y curvatura. Gracias!!