
¡Hola! Nos encantaría ayudarte, pero no solemos responder dudas universitarias que no tengan que ver específicamente con los vídeos que David ha grabado como excepción. O de otras asignaturas que no sean Matemáticas, Física y Química. Lo sentimos de corazón… Esperamos que lo entiendas.
Ojalá algún unicoo universitario se anime a ayudarte (de hecho, lo ideal es que todos los universitarios intentarais ayudaros los unos a los otros).
Tienes que hacer una recta de regresión, pero al no saber que es x ni que es y, ya no se si es una recta de regresión de y sobre x o de x sobre y. Pero te dejo las formlas:
recta de regresión de y sobre x:
y-media de y= covarianza÷varianza de x • (x-media de x)
recta de regresión de x sobre y:
x-media de x= covarianza÷varianza de y • (y-media de x)
Espero haberte ayudado.
P.D: Para mas ayuda mira el video de Distribucion bidimensional SECUNDARIA (4ºESO) recta regresion correlacion
David, ¿donde me tengo que apuntar para asistir a las clases?

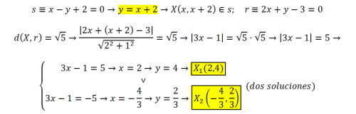
Lo que se hace es coger un punto genérico (x,y) de la recta s. Es decir, P(x, x+2), pues la y vale x+2.
A continuación, usando la fórmula de la distancia de un punto a una recta, ponemos que la distancia de P a r es de sqrt(5).
Resolvemos la ecuación en x. Hay eue considerar que si el valor absoluto de una cantidad es H, entonces esa cantidad puede ser H o -H.
Por eso se obtienen 2 soluciones,
Por favor ayuda con este ejercicio
Halle el area de la region acotada por el astroide x^(2/5) + y^(2/5) = a^(2/5)
Plante mi ecuacion y me quedo que el area es 4∫(a^(2/5) - x^(2/5))^5/2 dx , la integral va de 0 hasta a
Luego de cambiar mis limites de integracion llegue a que la integral queda como
20a^2 [∫cos^6 Θ dΘ -2∫cos^8 Θ dΘ + ∫cos^10 Θ dΘ] los limites de integracion van de 0 hasta pi/2
Hice esas integrales con las formulas de reduccion.
El resultado es R = 15 PI a^2 / 128
ESE RESULTADO NO ME DA, Y NO SE QUE TENGO MAL, por favor si alguien lo puede resolver para verificar lo que hice y GRACIAS

¡Hola! Nos encantaría ayudarte, pero no solemos responder dudas universitarias que no tengan que ver específicamente con los vídeos que David ha grabado como excepción. O de otras asignaturas que no sean Matemáticas, Física y Química. Lo sentimos de corazón… Esperamos que lo entiendas.
Ojalá algún unicoo universitario se anime a ayudarte (de hecho, lo ideal es que todos los universitarios intentarais ayudaros los unos a los otros).