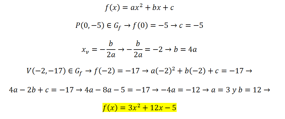
Holaa quisieran saber como realizar este tipo de ejercicio:
calcular los valores de a y b tal que la función f sea derivable en x = 2 . Graficar la función.
f(x)= ax + b si x<2
2x2 -1 si x ≥2

¿has visto estos videos?... Derivabilidad y continuidad
A partir de ahí, se trata de que DESPUES DE IR A CLASE (ver los vídeos
relacionados con vuestras dudas) enviéis dudas concretas, muy concretas. Y que
nos enviéis también todo aquello que hayais conseguido hacer por vosotros
mismos. Paso a paso, esté bien o mal. No solo el enunciado. De esa manera
podremos saber vuestro nivel, en que podemos ayudaros, cuales son vuestros
fallos.... Y el trabajo duro será el vuestro. Nos cuentas ¿ok? #nosvemosenclase
;-)
Buenas, tengo una duda con el siguiente ejercicio
El volumen generado por el lazo de una curva
y^4 = a^2x^2(a-x) , a>0
R = 4/15 pi a^(5/2)

¡Hola! Nos encantaría ayudarte, pero no solemos responder dudas universitarias que no tengan que ver específicamente con los vídeos que David ha grabado como excepción. O de otras asignaturas que no sean Matemáticas, Física y Química. Lo sentimos de corazón… Esperamos que lo entiendas.
Ojalá algún unicoo universitario se anime a ayudarte (de hecho, lo ideal es que todos los universitarios intentarais ayudaros los unos a los otros).