Alguien me puede ayudar con este problema de trigonometria?
Tres campamentos A, B y C están unidos por caminos rectos, por lo que desde A deben caminar 2.5 km para llegar a B y desde B otros 2 km para acceder a C. Si la distancia de A a C es de 3 km, qué ángulos forman los caminos entre ellos?

Si dibujas el triangulo y aplicas teorema del seno o el coseno, el ejercicio no presenta complicacion... Al menos deberías adjuntarnos un dibujo...
Te adjunto los links de los videos que deberías ver...

Tienes los datos:
p(r) = p(v) = p(n) = 1/3 (para los colores),
p(F) = p(G) = p(H) = p(I) = 1/4 (para los sectores).
A)
S = { rF , rG , rH , rI , vF , vG , vH , vI , nF , nG, nH , nI },
observa que la probabilidad para cada elemento es: p(xY) = (1/3)*(1/4) = 1/12.
B)
p(r ∩ G) = p(rG) = 1/12.
C)
p(F) = p(rF) + p(vF) + p(nF) = 1/12 + 1/12 + 1/12 = 3/12 = 1/4.
D)
p(v) = p(vF) + p(vG) + p(vH) + p(vI) = 1/12 + 1/12 + 1/12 + 1/12 = 4/12 = 1/3.
E)
Observa que p(n) = p(nF) + p(nG) + p(nH) + p(nI) = 1/12 + 1/12 + 1/12 + 1/12 = 4/12 = 1/3,
luego plantea:
p(F ∪ n) = p(F) + p(n) - p(nF) = 1/4 + 1/3 - 1/12 = 6/12 = 1/2.
Espero haberte ayudado.

A:
observa que los sucesos elementales son cuatro:
Corazón, Carita, Luna, Cruz;
observa que cada copo tiene una sola forma, por lo que no es posible extraer un copo que tenga dos o más formas a la vez, por lo que la probabilidad de la intersección entre dos sucesos es igual a cero.
B:
Observa que la cantidad total de copos es:
N = 390,
y que las cantidades por cada clase de copo son:
NCorazón = 150, NCara = 110, NLuna = 80, NCruz = 50.
Luego, plantea:
p(Corazón) = 150/390 = 5/13,
p(no Cara) = p(Corazón) + p(Luna) + p(Cruz) = 150/390 + 80/390 + 50/390 = 280/390 = 28/39.
Espero haberte ayudado.

A)
Observa en el gráfico que la recta r1 pasa por los puntos cuyas coordenadas son: A(0,0) y B(1,2), luego su pendiente queda:
m1 = (2-0)/(1-0) = 2/1 = 2 (observa que es positiva).
Observa en el gráfico que la recta r2 pasa por los puntos cuyas coordenadas son: C(3,0) y D(0,2), luego su pendiente queda:
m2 = (2-0)/(0-3) = 2/(-3) = - 2/3 (observa que es negativa).
B)
Recuerda que la gráfica de una función lineal es una recta inclinada que pasa por el origen, por lo que la recta r1 es la gráfica correspondiente.
Recuerda que la gráfica de una función afín es una recta inclinada que no pasa por el origen, por lo que la recta r2 es la gráfica correspondiente.
C)
Planteamos las ecuaciones cartesianas, y luego las ecuaciones explícitas, con un punto y la pendiente, para cada recta:
Observa que la recta r1 pasa por el punto A(0,0) y su pendiente es m1 = 2,
luego la ecuación cartesiana queda: y - 0 = 2(x - 0) (ecuación cartesiana),
cancelas términos nulos y queda: y = 2x (ecuación cartesiana explícita).
Observa que la recta r2 pasa por el punto D(0,2) y su pendiente es m2 = - 2/3,
luego la ecuación cartesiana queda: y - 2 = - (2/3)*(x - 0) (ecuación cartesiana),
luego cancelas el término nulo, haces pasaje de término y queda: y = - (2/3)x + 2 (ecuación cartesiana explícita).
D)
Puedes plantear una tabla de valores tiempo (x, en minutos) - costo (y, en céntimos):
x y
0 0, que corresponde al punto de coordenadas A(0,0)
1 2, que corresponde al punto de coordenadas B(1,2),
que son los puntos que pertenecen a la recta r1.
Espero haberte ayudado.
Hola únicos disculpad las molestias, haber si me podríais a ayudar a
corregir unos ejercisios que necesito antes del examen que me vendría
genial y no tengo forma de
Hola únicos disculpad las molestias, haber si me podríais a ayudar a
corregir unos ejercisios que necesito antes del examen que me vendría
genial y no tengo forma de corregirlos
Hola únicos disculpad las molestias, haber si me podríais a ayudar a corregir unos ejercisios que necesito antes del examen que me vendría genial y no tengo forma de corregirlos
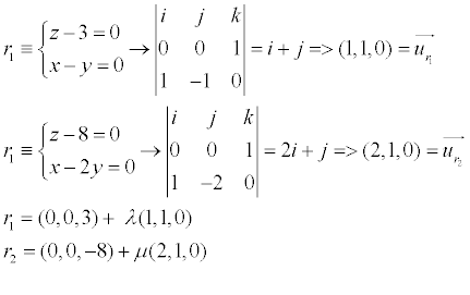
Hola unicoos, en el siguiente problema que preveo de facil resolucion no consigo encontrar la manera de conseguir la ecuacion de las rectas para calcular las distancias entre ellas.
La recta r viene definida por la interseccion de z=3 y x=y
La recta s viene definida por la interseccion de z=-8 y x=2y
Intento multiplicarlos vectorialmente los dos planos por ejemplo en r, que me sale el vector 1 x i + 1 x j
Pero no se que hacer con eso.
Si por algun casual este ejercicio tuviera otra manera de resolverlo porfavor ponganme un ejemplo de como hallar la ecuancion de una recta a partir de la interseccion de dos planos.
Muchas gracias y un saludo.
Hola Unicoos! En el vídeo de como realizar completa una función racional, se explican los puntos críticos y después si los intervalos son crecientes o decrecientes, no he terminado de comprender para que se usan los "puntos críticos" y si tienen algo relacionado con lo creciente y decreciente, ya que mi profesor del instituto lo llama Monotonía y nunca he llamado puntos críticos a ningún apartado de la realización de una función racional. ¿Podriais aclararme un poco,por favor? Muchas gracias