Hola Unicoos, me podríais ayudar a terminar el ejercicio?
Tengo que resolver la siguiente EDO de segundo orden:
y'' + y = sen (3x)
Lo primero que he hecho es hacer la ecuación caracteristica: λ2 + 1 = 0
Después he visto que da: λ=±1i
Entonces, la solución general es y(x;A,B)= Acos(1) + Bsen(1)
A partir de allí no se que hacer.
Un saludo!

Me encantaría ayudarte, pero no respondo dudas universitarias que no tengan que ver específicamente con los videos que ya he grabado como excepcion. O de otras asignaturas que no sean matemáticas, física y química. Lo siento de corazón… Espero lo entiendas
Ojalá algun unicoo universitario se anime a ayudarte (de hecho lo ideal es que todos los universitarios intentarais ayudaros los unos a los otros)
Una pregunta más:
(1−2𝑖)25= (𝑏𝑖𝑛ó𝑚𝑖𝑐𝑎)
Como se hace este?

Revisa este video... Numeros complejos 01 - Operaciones en forma polar
A partir de ahí, se trata de que DESPUES DE IR A CLASE (ver los vídeos
relacionados con vuestras dudas) enviéis dudas concretas, muy concretas. Y que
nos enviéis también todo aquello que hayais conseguido hacer por vosotros
mismos. Paso a paso, esté bien o mal. No solo el enunciado. De esa manera
podremos saber vuestro nivel, en que podemos ayudaros, cuales son vuestros
fallos.... Y el trabajo duro será el vuestro. Nos cuentas ¿ok? #nosvemosenclase
;-)
Hola
•Calculen el área de la región limitada por el gráfico de la función f y el eje x ,entre los valores de x en los que f tiene sus extremos locales,siendo f(x)= 1/3 x³ - 17/4 x² + 13x + 6
¿Cómo se realiza este problema?

Primero debes hallar sus maximos y minimos... Y los puntos de corte con el eje x (por Ruffini o Cardano)...
Crecimiento y curvatura de una función polinomica
A partir de ahí, trata de esbozar la funcion...
Buenas por favor como haria esta integral ? (tan ax + cot ax)^3

tan(x) + cotan(ax)= tan(ax) + 1/tan(ax) = (tan²(ax) + 1) / tan(ax)..
Comola derivada de tan(ax)= [1+tan²(ax)]. a, tu integral podría quedar como (1/a) ∫a. (tan²(ax) + 1) / tan(ax)..
Como tienes una fracción en la que en el denominador aparece una funcion (tan(ax)) y en el numerador su derivada (1+tan²(ax)), la integral es (1/a). ln(tan(ax))...

Me encantaría ayudarte, pero no respondo dudas universitarias que no tengan que ver específicamente con los videos que ya he grabado como excepcion. O de otras asignaturas que no sean matemáticas, física y química. Lo siento de corazón… Espero lo entiendas
Ojalá algun unicoo universitario se anime a ayudarte (de hecho lo ideal es que todos los universitarios intentarais ayudaros los unos a los otros)
¡Hola Unicoos!
Tengo un problema con este ejercicio del Teorema de Moivre y es que ya vi la teoría y algunos ejercicios pero son muy básicos y no encuentro como comenzar a hacer el ejercicio. ¿Tengo que empezar a hacer cada expresión por separado o cómo?
Ejercicio 1: Simplifica la expresión y después expresa el resultado en forma cartesiana.
(4√3 + 4i)6 / (-1 -i )4 (-√3 + i)6
Muchas gracias por su ayuda.

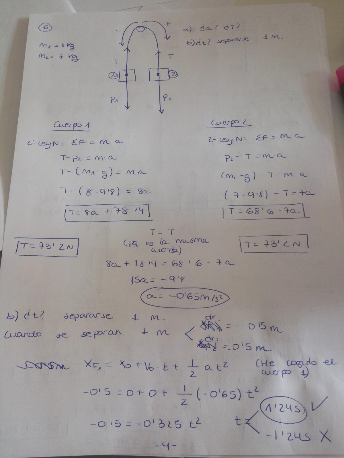
Llamemos M = 8 Kg y m = 7 Kg a las masas de los cuerpos
Observa que el cuerpo más pesado tiende a descender, por lo que asignamos para él un sistema de referencia con eje OY vertical con sentido positivo hacia abajo, aplicamos la Segunda Ley de Newton y queda:
Mg - T = Ma, de donde puedes despejar: Mg - Ma = T (1).
Observa que el cuerpo más livianoo tiende a ascender, por lo que asignamos para él un sistema de referencia con eje OY vertical con sentido positivo hacia arriba, aplicamos la Segunda Ley de Newton y queda:
T - mg = ma (2).
Luego, sustituyes la expresión señalada (1) en la ecuación señalada (2) y queda:
Mg - Ma - mg = ma, haces pasaje de término y queda:
Mg - mg = Ma + ma, extraes factores comunes en cada miembro y queda:
(M - m)g = (M + m)a, haces pasaje de factor como divisor y queda:
( (M-m)/(M+m) )g = a, luego reemplazas valores y queda:
a = (1/15)g ≅ (1/15)*9,8 ≅ 0,653 m/s2;
luego sustituyes en la ecuación señalada (1) y queda:
T = Mg - (1/15)g = 8g - (1/15)g = (8 - 1/15)g = (119/15)g ≅ (119/15)*9,8 ≅ 77,745 N.
Luego, plantea un sistema de referencia con eje OY vertical, con sentido positivo hacia arriba, con origen en la posición inicial de los cuerpos.
Observa que no actúan fuerzas de rozamiento u otras fuerzas disitpativas, por lo que tienes que se conserva la energía mecánica.
Luego, planteamos dos instantes importantes:
A: instante inicial, para el que tenemos y = 0 y v = 0 para ambos cuerpos;
B: instante final, para el que tenemos para cada cuerpo (observa que la distancia que desciende el cuerpo más pesado es igual a la distancia que asciende el cuerpo más liviano, porque la soga es inextensible, y observa también que las rapideces con la que se mueven los cuerpos son iguales):
luego planteamos la ecuación de posición del Movimiento Rectilíneo Uniformemente Variado para cada cuerpo:
y = (1/2)*a*t2
sustituimos el valor de la aceleración, y llamamos h a la distancia recorrida por cada cuerpo y queda:
h = (1/2)*(1/15)g*t2 = (1/30)*g*t2 = (1/30)*9,8*t2 ≅ 0,327*t2,
luego, observa que el cuerpo más liviano asciende una distancia h, y que el cuerpo más pesado desciende una distancia h, por lo que su separación es 2h, por lo que puedes plantear:
2h = 1 metro, sustituyes y queda:
2*(1/30)*g*t2 = 1, resuelves los facotres numéricos, haces pasajes de factor y de divisor y queda:
t2 = 15/g, haces pasaje de potencia como raíz y queda:
t ≅ V(15/g) ≅ 1,237 s.
Espero haberte ayudado.
Hola, buenos dias (Argentina) quiero saber si la forma en la que calcule la mediana en el siguiente ejercicio es correcta y si no lo es y no es mucha molesteia me pueden explicar como se calcula.
Desde ya, muchas gracias. ![]()

Has resuelto correctamente el ejercicio, por lo que solamente ordenamos el planteo que has hecho.
Llamemos m a la mediana que se quiere determinar, para la cuál la probabilidad acumulada debe ser igual a 1/2.
Luego, como tienes la función de distribución acumulada de probabilidad, has planteado:
F(m) - F(0) = 1/2,
observa que el valor m corresponde a la rama central de la función, evalúas y queda:
m2/4 - 02/4 = 1/2, cancelas el término nulo, haces pasaje de divisor como factor y queda:
m2 = 2, haces pasaje de potencia como raíz y queda:
m = √(2) ≅ 1,4142,
y observa que tomamos la raíz positiva, que pertenece al intervalo correspondiente a la rama central de la expresión de la función de distribución.
Espero haberte ayudado.