Hola en el examen de mates me entró este ejercicio: Podeis resolverlo para saber si los resultados obtenidos están correctos?
" Cual de las contraseñas es más segura?
a) cuatro números de una cifra seguidos de tres letras del alfabeto español y de dos emoticonos entre los siguientes :) :( :/ :V
b) Tres carácteres como mínimo y cinco como máximo con dos números de una cifra o entre dos letras del alfabeto español diferenciando entre minúsculas y mayúsculas.
Cuál es más segura?"

¡Hola! Nos encantaría ayudarte, pero no solemos responder dudas universitarias que no tengan que ver específicamente con los vídeos que David ha grabado como excepción. O de otras asignaturas que no sean Matemáticas, Física y Química. Lo sentimos de corazón… Esperamos que lo entiendas.
Ojalá algún unicoo universitario se anime a ayudarte (de hecho, lo ideal es que todos los universitarios intentarais ayudaros los unos a los otros).
AYUDAAAA!! Tengo el examen de EvAU de matemáticas aplicadas a las ciencias sociales mañana y no entiendo de este ejercicio el apartado b)

En ningun caso resolveria así el ejercicio. Para P(34<x<36) lo mejor es P(x<=36)- P(x<=34)
Tipificas y haces cada una por separado.. Te sugiero..
Hola, es la primera vez que estoy por aquí jeje y quería preguntar algo, ya que mañana tengo examenes de recuperación y ayer pregunté al profe una cosa y me fui como vine. Estoy haciendo lo que creo que se llama razones trigonometricas y tengo una pequeña duda.
Hice unos ejercicios con seno y coseno y todo bien, pero al hacer uno de tangente me surge una pequeña duda.
Por ejemplo, un problema con seno de 25 me queda así: 0,42=2, 75/x Luego las incógnitas a un lado y los números a otro: 0,42x= 2.75. Y sé perfectamente que tengo que dividir ahora 2,75/0,42.
La cosa es que hice uno de tangente y me queda así:
Tan de 42= x/175. Al final de todo el ejercicio, para obtener el resultado, en vez de dividir como en los otros dos, aquí debo multiplicar, pero quería saber porqué debo multiplicar en vez de dividir. Una amiga me dijo que era porque cuando la X está arriba de la fracción (porque yo casi todo lo que he representado ahí lo expreso en forma de fracción, pero no lo he puesto así porque por aquí no se podía), al final de todo se multiplica, y cuando está la X abajo, se divide. Y quería saber si es verdad o si hay otra explicación, gracias. Puedo facilitar una foto del problema o del ejercicio ^^

Veamos las reglas de pasajes de factores (x indica la incógnita que debemos despejar):
1)
0,42 = 2,75/x, multiplicas por x en ambos miembros y queda:
0,42*x = (2,75/x)*x, simplificas en el segundo miembro y queda:
0,42*x = 2,75, divides por 0,42 en ambos miembros y queda:
(0,42*x)/0,42 = 2,75/0,42, simplificas en el primer miembro y queda:
x = 2,75/0,42.
2)
tan(42°) = x/175, multiplicas por 175 en ambos miembros y queda:
tan(42°)*175 = (x/175)*175, simplificas en el segundo miembro y queda:
tan(42°)*175 = x.
En forma abreviada, tienes el paso de la primera forma remarcada a la última forma remarcada como regla de pasajes de factores o divisores, y en cada paso que hemos realizado, observa que hemos aplicado la propiedad uniforme para las ecuaciones: en una ecuación se puede multiplicar (o dividir) en ambos miembros por un número distinto de cero.
Espero haberte ayudado.
Buenos días.
Estoy en primero de carrera y en Análisis me han surgido estas dudas:
- Demostrar que ''la unión de cerrados puede no ser un cerrado'' y ''la intersección de abiertos puede no ser abiertos'' se que es en el caso de que éstos sean finitos; pero aún así no soy capaz de demostrarlo, lo he buscado por internet pero tampoco comprendo la razón
- Estudiar si la unión de dos conjuntos convexos de R^n es o no un conjuntos convexo. En caso negativo dar un contraejemplo
Gracias :D

Me encantaría ayudarte, pero no respondo dudas universitarias que no tengan que ver específicamente con los videos que ya he grabado como excepcion. O de otras asignaturas que no sean matemáticas, física y química. Lo siento de corazón… Espero lo entiendas
Ojalá algun unicoo universitario se anime a ayudarte (de hecho lo ideal es que todos los universitarios intentarais ayudaros los unos a los otros)

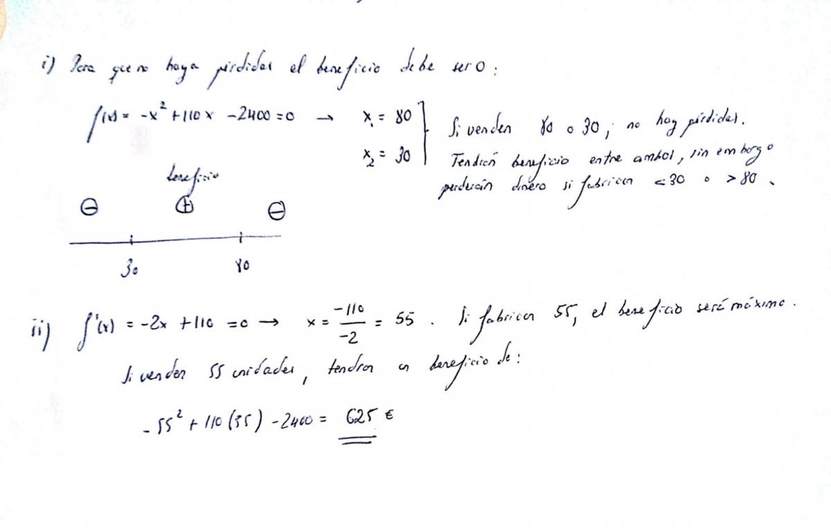
Aqui tienes los dos primeros apartados, para calcular cuando no se producen pérdidas, es como decir que el beneficio no es positivo ni negativo. Por otra parte, para calcular el máximo beneficio posible, puesto que la función que nos proporcionan es el beneficio, deberemos encontrar cuando es máximo, para ello derivamos e igualamos a 0; hallamos el valor de x el cuál será el número de productos necesarios para obtener el máximo beneficio. La función que nos proporcionan es una parábola hacia abajo. por tanto tendrá un máximo y dos puntos de corte, los cuales serán los productos necesarios para que no se produzcan pérdidas.