Hola.como seria el ejercicio completo paso a paso?
Determinar las curvas de nivel para z=0,1,-1 f(x,y)=ln (3y+6x∧2) y graficarlas.

¡Hola! Nos encantaría ayudarte, pero no solemos responder dudas universitarias que no tengan que ver específicamente con los vídeos que David ha grabado como excepción. O de otras asignaturas que no sean Matemáticas, Física y Química. Lo sentimos de corazón… Esperamos que lo entiendas.
Ojalá algún unicoo universitario se anime a ayudarte (de hecho, lo ideal es que todos los universitarios intentarais ayudaros los unos a los otros).

Hola Guillem,yo en la guia tengo que se iguala la funcion a los distintos valores de z. De ahi se depeja la "Y".Y al resultado se le dan valores para graficar.Siguiendo eso y segun lo que me dijistes llego a esto pero no entiendo como es la grafica,por que si fuera por ejemplo : x∧2+y∧2=9 seria una circunferencia de radio 3 la que se dibuja,pero aca me da que no estan los dos terminos elevados al cuadrado. Como deberia ser la grafica en estos casos? Te subo la foto de lo que hice!

¡Hola! Nos encantaría ayudarte, pero no solemos responder dudas universitarias que no tengan que ver específicamente con los vídeos que David ha grabado como excepción. O de otras asignaturas que no sean Matemáticas, Física y Química. Lo sentimos de corazón… Esperamos que lo entiendas.
Ojalá algún unicoo universitario se anime a ayudarte (de hecho, lo ideal es que todos los universitarios intentarais ayudaros los unos a los otros).
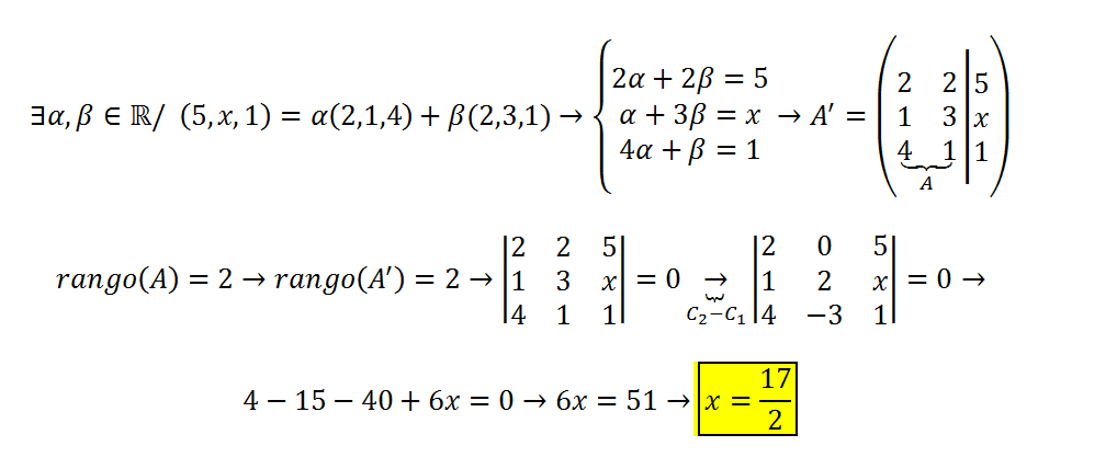
muy buenas unicoos, me pueden hacer el favor de ayudar con este ejercicio
necesito encontrar el valor de x para que el vector (5, x, 1) pertenezca al subespacio de H={(2, 1, 4) , (2, 3, 1)}. muchas gracias.
No hay ningún problema, no tienes más que escribir el vector como combinación lineal de los vectores que generan el subespacio:
(5,x,1)=a(2,1,4)+b(2,3,1)
De la primera y tercera componentes obtienes un sistema de dos ecuaciones con dos incógnitas, en el que puedes determinar el valor de a y b. Sustityuendo en la segundo componente calculas el valor de x.
Saludos.
Holaaa, ayuda por favor !!!! Elipse
- El punto M (3, -1) es un extremo del eje menor de una elipse, cuyos focos están en la recta y+6=0. Hallar la ecuación de esta elipse, conociendo se excentricidad que es igual a √2⁄2 (raíz de dos sobre dos)
Por favor

¡Hola! Nos encantaría ayudarte, pero no solemos responder dudas universitarias que no tengan que ver específicamente con los vídeos que David ha grabado como excepción. O de otras asignaturas que no sean Matemáticas, Física y Química. Lo sentimos de corazón… Esperamos que lo entiendas.
Ojalá algún unicoo universitario se anime a ayudarte (de hecho, lo ideal es que todos los universitarios intentarais ayudaros los unos a los otros).
Como puedo resolver esto:
Se van a construir casas de 2 pisos en Huancayo: nivel A y nivel B. La constructora dispone de $ 1 800 000, el costo de cada tipo de casa es de $ 30 000 y $ 20 000, respectivamente. Por norma ,el numero total de casas no será mayor de 80. La ganancia por la venta de una casa nivel A es de $ 4000 y por una nivel B es $ 3000. ¿Cuantas casas nivel A deben construirse para obtener ganancia máxima?
a) ¿Cuantas casas de nivel B deben construirse para obtener la ganancia máxima?
b) Calcula la ganancia máxima.
como puedo resolver esto:
Juan tiene 24 ha de terreno para sembrar papa o camote. Dispone de 40 horas de trabajo durante el verano , de acuerdo a los margenes de utilidad y requerimientos siguientes:
-Papa: utilidad: 40 euros por ha
trabajo: 2 horas por ha
-Camote: utilidad: 30 euros por ha
trabajo: 1 hora por ha
¿Cuantas ha de papa debe sembrar para obtener la utilidad máxima? (ha= hectáreas)
a) ¿Cuan tas ha de camote debe sembrar para obtener la utilidad máxima?
b) Calcula la utilidad máxima.
como puedo resolver esto:
Confeccionar un traje requiere 1 m² de algodón y 3 m² de lana; y un vestido requiere 2 m² de cada tela. Patricia dispone de 80 m² de tela de algodón y 120 m² de tela de lana. Calcula el numero de vestidos que se deben confeccionar para obtener el máximo beneficio, si el traje y el vestido se venden al mismo precio de 60 euros.
a) ¿Cuantos trajes se deben confeccionar para obtener el máximo beneficio?
b) Calcula el máximo beneficio.