Holaaa desde hace varios años que no toco las matematicas y no me acuerdo de como se resolvia esto.... 2n-2=57?¿?¿
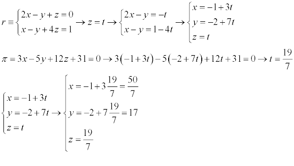
¿Cómo se haría para encontrar la intersección entre esta recta y el plano? Al estar en sus ecuaciones implícitas desconozco cómo hacerlo.![]()

Un método directo:
Resuelve (por Cramer o por Gauss) el sistema lineal formado por las tres ecuaciones.
Si es incompatible, la recta es paralela.
Si es compatible indeterminado, la recta está contenida en el plano.
Si es compatible determinado, la solución única es el punto de intersección.
Hola, me gustaría que puedan hacer la explicación de MODELIZACIÓN, DOMINIO, CODOMINIO, IMAGEN DE UNA FUNCIÓN, PRE-IMAGEN, DISTINTAS FORMAS DE REPRESENTAR UNA FUNCIÓN, que tengo parcial el jueves y no entiendo, y encima la docente falto 3 veces y menos entiendo jaja. Muchas gracias!
¿Cómo se resolvería este problema?
Al sumar 21 múltiplos seguidos de 3 obtenemos el valor 1260. En suma, ¿cuál es el primer múltipo de 3? ¿Y el último?
Muchísimas gracias.
Yo dividiría de entrada por 3 para tener la suma de 21 números consecutivos, aunque también puede hacerse directamente con los múltiplos de 3. Utiliza la fórmula para la suma de una progresión aritmética:
S=[(a1+an)n]/[2]
Y para el término n-simo: an=a1+(n-1)d
Si divides previamente por 2, la diferencia d es 1, si no es 3.
Saludos,
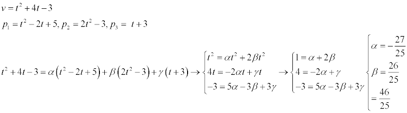
¿Alguien sabe cómo resolver este ejercicio?, Me pide exprese el polinomio v= t^2+4t-3 sobre R como una combinación lineal de los vectores p1= t^2-2t+5, p2= 2t^2-3 y p3= t+3. Se los agradecería mucho, gracias.
Hola, necesito que me ayudéis con unos ejercicios de funciones.
Una escalera de 4 metros de largo está apoyada en una parte. Expresa la altura a la que llega el alto de la escalera en función de la distancia que hay, sobre el suelo, entre la escalera y la pared. Haz el gráfico.
Constata la falsedad del enunciado siguiente:
Todo número natural múltiple de 2, es múltiplo de 4.
múltiplos de dos= {ser par}={2n}
múltiplos de cuatro={ {2n} - {2n+2} } ------------> puedes observar que tiene TODOS los elementos de {2n} EXCEPTO {2n+2}
Por lo que:
{ {2n} - {2n+2} } es un subconjunto de {2n} -----------------------> Todo número natural múltiplo de 4 es múltiplo de 2
{2n} no es un subconjunto de {2n} - {2n+2} --------------------> Todo número natural múltiplo de 2 NO es múltiplo de 4
QUEDA CONSTATADA LA FALSEDAD DEL ENUNCIADO
Buenas. ¿Cuál sería el procedimiento para calcular un punto de inflexión usando SOLO la segunda derivada? Es decir, prescindiendo de hacer la 3ª derivada. Si pudiérais facilitarme algún ejemplo también os lo agradecería. Muchas gracias.
Considera las funciones f(x)=x⁴ y g(x)=x⁵. Entonces:
f''(x)=12x², f''(x)=0 → x=0,
12x² > 0 si x<0
12x² > 0 si x>0
No hay cambio de signo, y por tanto tampoco de concavidad y no hay punto de inflexión.
g''(x)=20x³, g''(x)=0 → x=0,
20x³ < 0 si x<0
20x³ > 0 si x>0
Hay cambio de signo, por tanto hay cambio de concavidad y punto de inflexión.
De forma similar se pueden estudiar los máximos y mínimos solo estudiando la derivada primera.
Saludos,