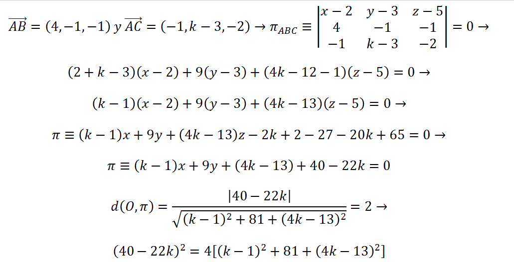
Hola; tengo que llevar una funcion a su forma canónica y luego graficar por trazas. Hiperboloide de dos hojas, de una hoja, paraboloides, elipsoides. Funciones cuadricas. Gracias

Hola! Nos encantaría ayudarte, pero no solemos responder dudas universitarias que no tengan que ver específicamente con los vídeos que David ha grabado como excepción. O de otras asignaturas que no sean Matemáticas, Física y Química. Lo sentimos de corazón… Esperamos que lo entiendas.
Ojalá algún unicoo universitario se anime a ayudarte (de hecho, lo ideal es que todos los universitarios intentarais ayudaros los unos a los otros).
Hola unicoos,me ayudan con esta ecuacion diferencial? Tengo examen y nose como resolverla
y´.y sen(y∧2)-x∧2=0 que pasa por el punto (-1;0)

¡Hola! Nos encantaría ayudarte, pero no solemos responder dudas universitarias que no tengan que ver específicamente con los vídeos que David ha grabado como excepción. O de otras asignaturas que no sean Matemáticas, Física y Química. Lo sentimos de corazón… Esperamos que lo entiendas.
Ojalá algún unicoo universitario se anime a ayudarte (de hecho, lo ideal es que todos los universitarios intentarais ayudaros los unos a los otros).