Buenas!! Sé que en plano inclinado, puedo hallar la aceleración sin conocer la masa, ya que se supone que no es necesario. Pero no sé qué fallo tengo o que me falta por hacer. Podrían ayudarme? Muchas gracias!!

¡Hola! Nos encantaría ayudarte, pero no solemos responder dudas universitarias que no tengan que ver específicamente con los vídeos que David ha grabado como excepción. O de otras asignaturas que no sean Matemáticas, Física y Química. Lo sentimos de corazón… Esperamos que lo entiendas.
Ojalá algún unicoo universitario se anime a ayudarte (de hecho, lo ideal es que todos los universitarios intentarais ayudaros los unos a los otros).
Varias dudas de ejercicios que tengo incompletos si me los pasais en folio llevareis buena puntuación.
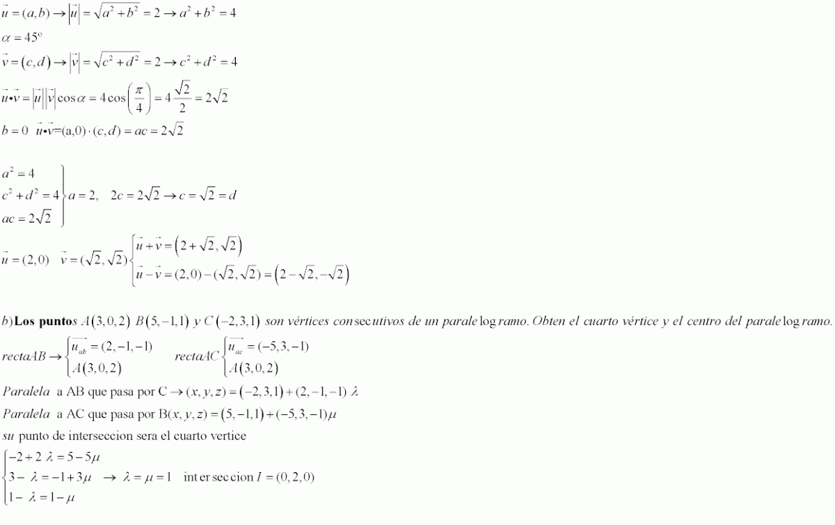
1. Sean u y v dos vectores que forman un angulo de 45º y que tienen el mismo modulo |u|=|v|=2
a) cual es el modulo de u+v? y el de u-v?
b) demuestra que u+v y u-v son perpendiculares
2. Los puntos A(3,0,2) B(5,-1,1) y C(-2,3,1) son vértices consecutivos de un paralelogramo. Obten el cuarto vértice y el centro del paralelogramo.
3. Halla el punto simétrico de P(0,2,1) respecto al plano π: x+y-z=2
4.determina la ecuación de un plano π paralelo al plano de ecuación 2x-y+z+4=0 que dista 10 unidades del punto (2,0,1)
Serian estos si me los podeis pasar echos en un folio seria de agradecer
Me urge
Gracias de antemano
Hola unicoos, una pregunta..me podrían dar una idea de como analizar el conjunto dominio de esta función?
z = √xy
Me pide determinar:
-Si es un conjunto abierto o cerrado
-Si posee puntos de frontera
-Si es acotado
-Si es conexo
-Si posee puntos aislados
Respecto al análisis del dominio no tengo problema, simplemente son los x,y que cumplan que: xy ≥ 0
El hecho de que sea abierto o cerrado yo lo determino de acuerdo a si la inecuación es mayor igual o menor igual, en definitiva, que no sea solo mayor o menor, que tenga el igual.
Lo que no se es como determinar las siguientes cosas que pide, se que esto se sale de unicoos, por eso apelo a un unicoo universitario o a alguien que sepa, muchas gracias de antemano