Intente resolver estos problemas pero no me salen necesito ayuda!!!
1- Sea F(x) cuyo grafico pasa por los puntos (1;3) y (3;1) y sea g(x) = 3x-1. A=( x ∈ R/ f(x)>g(x) )
2-Sea F(x) funcion cuadratica cuyo grafico pasa por los puntos (3;0) (1;0) (0;12) hacer el vertice del graf de F
En el libro de Susana S.Epp que te dije hace una semana creo recordar que te recomendé el tema 6 para los conjuntos y para inducción te recomiendo el tema 5.
Si no está la demostración de este ejercicio, está uno igual al 99% y además "reexplicado"
Un saludo y paciencia-fuerza con estos temas.
Hola Unicoos,
Al tener la x en el denominador ya no sé aplicar la fórmula en la funcion.
Me podrian ayudar paso a paso
Muchisimas gracias.

Es cuestión de leer el operador o regla de correspondencia de la función .
Allí he puesto 2 formas parece que tú trabajas con la segunda y tu duda era como poner f(-2+h)
El operador dice que f(algo) = 1/(algo)
En este caso ese algo es -2+h entonces
f(-2+h) = 1/(-2+h)
Por ejemplo f(x) = x³ + 3x
Eso lo lees como f de algo es igual a "algo al cubo " más "tres veces algo" , y ese algo puede ser 2x , x+h ,x² o lo que sea con lo que estás trabajando.
Por eso digo cuestión de leer la regla de correspondencia de la función
Hola Unicoos,
Me podrian aclarar el ejercicio, no se cual es la ordenada en el origen ni la pendiente. No se poner la ecuacion.
Muchisimas gracias.
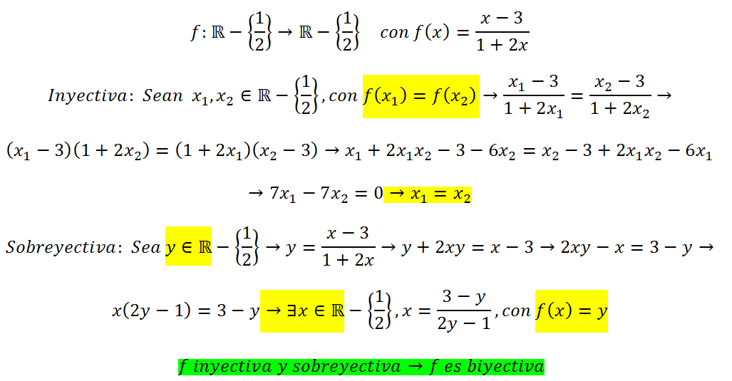
Hola Unicoos,
me podrian decir si tengo algun error en el desarrollo de esta demostracion de la ecuacion y ayudarme a continuar.
Muchisimas gracias.
Hola unicoos,
Se podria decir que tg2x= sen2x/cosx ?
Muchas gracias