Cual es el resultado de:
x-x=1
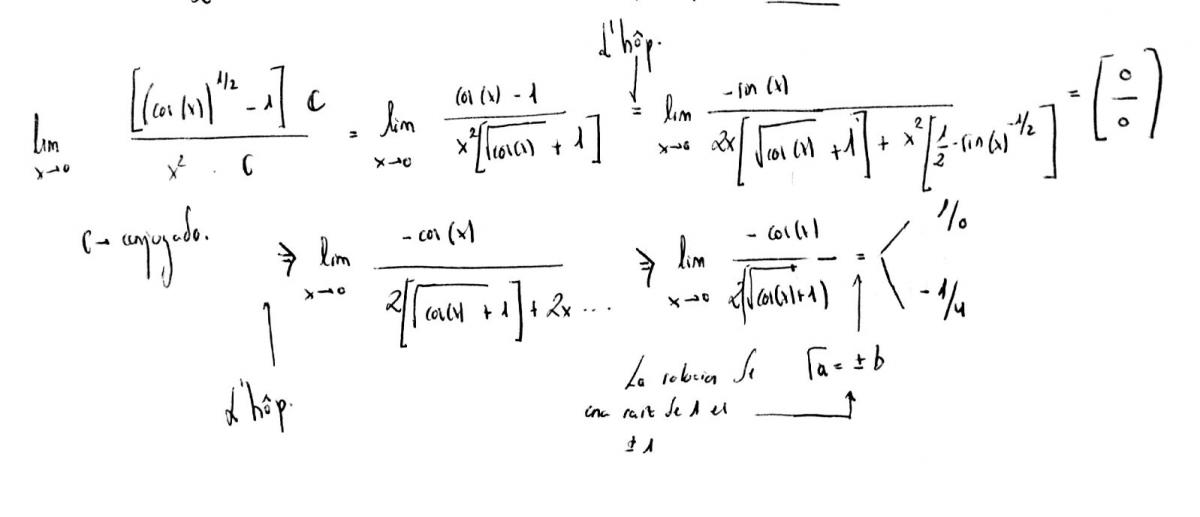
limx→0 (cos(x))½ -1 = 0
x² 0
¿Quién me puede ayudar? No le encuentro la vuelta al ejercicio. Multiplico y divido por la conjugada, me da igualmente 0 entre 0 y no se que más hacer.
Ayuda porfa.

Trabajaste el argumento del límite, multiplicaste por la expresión conjugada y el numerado y el denominador quedaron:
N = cosx - 1 = - (1 - cosx) = - 2(1 - cosx)/2 = aplicas identidad trigonométrica = - 2sen2(x/2) ,
D = x2*(√(cosx) + 1) = 4*(x2/4)*(√(cosx) + 1) = 4*(x/2)2*(√(cosx) + 1).
Luego, plantea la sustitución (cambio de variable):
w = x/2, de donde despejas: 2w = x, y observa que w tiende a cero cuando x tiende a cero,
luego sustituyes y queda:
Lím(w→0) - 2sen2(w) / 4w2*(√( cos(2w) ) + 1) =
= - (2/4) * Lím(w→0) sen2w/w2 * Lím(w→0) 1/(√( cos(2w) ) + 1) =
= - (1/2) * Lím(w→0) (senw / w)2 * Lím(w→0) 1/(√( cos(2w) ) + 1) = resolvemos:
= - (1/2) * 12 * 1/(√(1) + 1) = - (1/2)*1*1/2 = - 1/4.
Otra forma para resolverlo, si es que la has visto en clase, es por medio de la Regla de L'Hôpital.
Espero haberte ayudado.
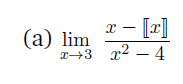
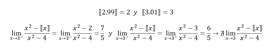
Buenas Tarde, tengo la siguiente duda con un problema de limites, sin derivar, por sustitución ingenua, me da 0, pero al hacer la gráfica, me da indeterminado, me pudiera ayudar con esto por favor que en la Universidad me enseñaron que si los limites laterales son distintos, el limite justo en ese punto no existe.
:D

Va la ayuda.
6m2 - 15m - 9 = 3(2m2 - 5m - 3) = aplicamos la fórmula resolvente para ecuaciones cuadráticas =
= 3*2(m - 3)(m + 1/2) = 6(m - 3)(m + 1/2);
2m2 - 18 = 2(m2 - 9) = 2(m - 3)(m + 3).
Luego, queda que sustituyas en el segundo factor, simplifiques y continúes con la resolución del ejercicio.
Espero haberte ayudado.

Puedes llamar:
x = cantidad de billetes de 10 euros,
y = cantidad de billetes de 20 euros,
z = cantidad de billetes de 50 euros.
Luego, tienes las relaciones entre las cantidades:
z/5 = y (por cada billete de 20 euros hay 5 de 50 euros),
de donde puedes despejar: z = 5y, y luego: - 5y + z = 0;
y/2 = x/3 (por cada dos billetes de 20 euros hay tres billetes de 10 euros),
de donde puedes despejar: 3y = 2x, y luego: - 2x + 3y = 0;
luego, para importe total introducido en el cajero, plantea:
10x + 20y + 50z = 28500,
divides en todos los términos por 10 y queda: x + 2y + 5z = 2850.
Luego, queda para que resuelvas el sistema de tres ecuaciones lineales con tres incógnitas:
- 5y + z = 0
- 2x + 3y = 0
x + 2y + 5z = 2850.
Espero haberte ayudado.
Hola comunidad unicoos, agradecería me ayudaran con este ejercicio, ya que no lo comprendo. Dice: Si la función de la demanda es f(x) = -x^2 -4x +36 . Determinar el excedente del consumidor por: a) x = 1 b) y = 3
Gracias!
¿Y cuál es la función de la oferta?
Con f(x) = -x^2 -4x +36 y g(oferta) calculamos el punto de equilibrio (donde se cortan las gráficas f y g), y para a) trazamos x=1 o para b) y=3.
Calcularemos con integrales definidas el área en el que sea mayor la oferta del consumidor que la demanda y esté delimitado a su vez por la vertical x=1 o la horizontal y=3 (dependiendo del apartado a) o b) )
Si te quedan dudas vuelve a preguntar (y de paso completa tu enunciado)

¡Hola! Nos encantaría ayudarte, pero no solemos responder dudas universitarias que no tengan que ver específicamente con los videos que David he grabado como excepción. O de otras asignaturas que no sean Matemáticas, Física y Química. Lo sentimos de corazón… Esperamos que lo entiendas.
Ojalá algún unicoo universitario se anime a ayudarte (de hecho lo ideal es que todos los universitarios intentarais ayudaros los unos a los otros).
Hola unicoos podrían ayudarme con este ejercicio? Me piden esbozar la gráfica f(x) y g(x) y calcular su punto de corte. No entiendo especialmente lo que he señalado en color pero agradecería que me explicaran lo que hace en líneas generales y por qué calcula las soluciones de la función f(x) en el eje OX. Gracias de antemano.