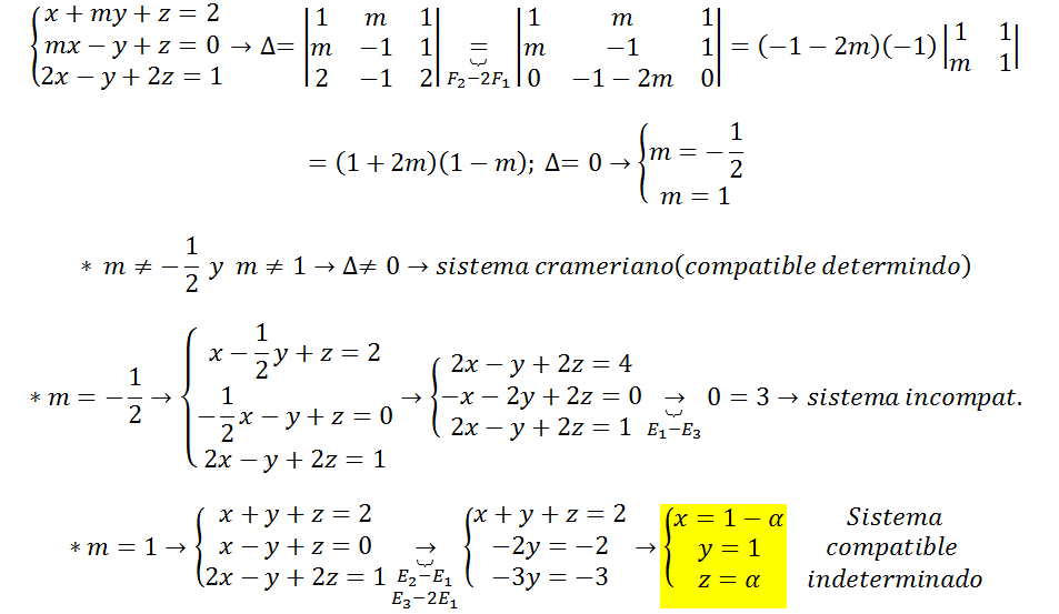
Hola,necesito ayuda con el siguiente ejercicio:
Una empresa construye pequeños recipientes de base rectangular sin tapa con capacidad de 12cm³. En la base,la longitud de uno de los lados es cinco veces la longitud del otro.Si el costo del material de la base es de $10 por cm² y de $6 para el material de los costados.¿De qué medidas deben construirse los recipientes para gastar lo menos posible?
El tema con el que debe resolverse es derivada,máximos y mínimos.
Gracias!
Hola Unicoos,
En este ejercicio me he atascado en calcular la posición de la función respecto la asíntota Horizontal, es decir, poner gráficamente las flechitas en los extremos de los infinitos, y mi profesora dice que se calcula como os he puesto en el papel f(grande)=f(x)-A.Horizontal, etc... y no comprendo eso porque en clase no nos habian salido Asíntotas horizontales hasta ahora y nose como se hace.
Me podrian echar una mano?
Muchisimas gracias

No entiendo bien tu pregunta con eso de flechitas y de la forma como se pone .
La asintota horizontal de una función (si la tiene ) se calcula tomando límite a (+ infinito) y a (-infinito) Supongo que a algo por allí se refiere con x muy chiquito (muy negativo osea menos infinito) o x muy grande (+ infinito)
Pero tienes un ejemplo resuelto por tu profesora ??
Buenas tardes.
Estoy con un ejercicio de PAU 2012 CYL, en concreto este:
Estoy viendo una resolución del ejercicio y he entendido el procedimiento y una de las formas de resolución. Lo que se ha hecho ha sido hallar la derivada de la función en los puntos, y hacer que el producto de pendientes valga -1.
Lo que no he llegado a comprender...es que se utiliza y se pone de ejemplo otro método para llegar a lo mismo.
Dice que se basa en la perpendicularidad en el plano, al cambiar de lado y uno de signo encuentra la perpendicular. En geometría analítica lo entiendo con vectores, aquí soy incapaz de ver de dónde lo está sacando.

No comprendo muy bien que cosa no tienes claro porque veo que en efecto entiendes de forma clara la solución .
Ahora el decir que el producto de pendientes de 2 rectas perpendiculares es (-1) se expresa como
(m1)(m2) = -1
Otra forma de expresar lo mismo es que pases a uno a dividir
m1 = -1/m2
Es lo mismo , no sé si es tu duda

Me refiero concretamente a esto:
https://www.youtube.com/watch?v=CPia1gtpVSY&index=10&list=PLunRFUHsCA1zTw6Gxnr651Z6xJJ1cac3g
Minuto 3:37. Dice que hay dos formas de hacerlo, una que no entiendo nada, y la otra que es por producto de pendientes =-1.
Le da el mismo resultado con una que con otra pues es lo mismo, pero no entiendo el planteamiento que da por mucho que le de vueltas.
hola tengo una duda, en el video de unicoos https://www.youtube.com/watch?v=ISbnLcFFrNY es correcta la formula de la moda??
Buenas tardes, ¿Cuál sería el suceso de intersección de a) Extraer una bola coloreada de una urna y extraer un bola roja b)Obtener suma mayor que 6 al lanzar dos dados y obtener número primo en los dos dados
Muchas gracias!
Casos posibles: 36 casos
(1,1)(1,2)(1,3)(1,4)(1,5)(1,6)
(2,1)(2,2)(2,3)(2,4)(2,5)(2,6)
(3,1)(3,2)(3,3)(3,4)(3,5)(3,6)
(4,1)(4,2)(4,3)(4,4)(4,5)(4,6)
(5,1)(5,2)(5,3)(5,4)(5,5)(5,6)
(6,1)(6,2)(6,3)(6,4)(6,5)(6,6)
Casos favorables suma mayor que 6:
(1,1)(1,2)(1,3)(1,4)(1,5)(1,6)
(2,1)(2,2)(2,3)(2,4)(2,5)(2,6)
(3,1)(3,2)(3,3)(3,4)(3,5)(3,6)
(4,1)(4,2)(4,3)(4,4)(4,5)(4,6)
(5,1)(5,2)(5,3)(5,4)(5,5)(5,6)
(6,1)(6,2)(6,3)(6,4)(6,5)(6,6)
(Casos favorables suma mayor que 6) y (dos números primos) : 5 casos favorables * Recuerda que el 1 no es primo
(1,6)
(2,5)(2,6)
(3,4)(3,5)(3,6)
(4,3)(4,4)(4,5)(4,6)
(5,2)(5,3)(5,4)(5,5)(5,6)
(6,1)(6,2)(6,3)(6,4)(6,5)(6,6)
Laplace----> Probabilidad(Obtener suma mayor que 6 al lanzar dos dados y obtener dos números primos en los dos dados)=
(5 casos favorables)/(36 casos posibles)= 0.138888= 13.888%
(function(){var g=this;function h(b,d){var a=b.split("."),c=g;a[0]in c||!c.execScript||c.execScript("var "+a[0]);for(var e;a.length&&(e=a.shift());)a.length||void 0===d?c[e]?c=c[e]:c=c[e]={}:c[e]=d};function l(b){var d=b.length;if(0=d.offsetWidth&&0>=d.offsetHeight)a=!1;else{c=d.getBoundingClientRect();var f=document.body;a=c.top+("pageYOffset"in window?window.pageYOffset:(document.documentElement||f.parentNode||f).scrollTop);c=c.left+("pageXOffset"in window?window.pageXOffset:(document.documentElement||f.parentNode||f).scrollLeft);f=a.toString()+","+c;b.b.hasOwnProperty(f)?a=!1:(b.b[f]=!0,a=a<=b.g.height&&c<=b.g.width)}a&&(b.a.push(e),b.c[e]=!0)}p.prototype.checkImageForCriticality=function(b){b.getBoundingClientRect&&q(this,b)};h("pagespeed.CriticalImages.checkImageForCriticality",function(b){n.checkImageForCriticality(b)});h("pagespeed.CriticalImages.checkCriticalImages",function(){r(n)});function r(b){b.b={};for(var d=["IMG","INPUT"],a=[],c=0;c