Hallar los puntos de la curva y2 = x cuya distancia al punto (3/2,0) sea mínima.
Se hace igual que el ejercicio 3:
https://matematicasiesoja.files.wordpress.com/2013/10/ejercicios-optimizacion.pdf

Considera un punto genérico perteneciente a la curva: P(x,y), por lo que tienes la relación entre sus coordenadas: x = y2 (1).
Luego, plantea la distancia entre dicho punto y el punto A(3/2,0):
d(A,P) = √( (x - 3/2)2 + (y - 0)2 ) = √(x2 - 3x + 9/4 + y2).
Luego sustituye la expresión señalada (1) y queda:
d(A,P) = √( (y2)2 - 3y2 + 9/4 + y2 ) = √(y4 - 2y2 + 9/4). (2)
Luego, plantea la función distancia cuadrática:
f(y) = ( d(A,P) )2, sustituyes la expresión señalada (2) y queda:
f(y) = ( √(y4 - 2y2 + 9/4) )2, simplificas índice de raíz y exponente de potencia y queda:
f(y) = y4 - 2y2 + 9/4, que es la expresión de una función polinómica bicuadrática,
luego plantea las expresiones de sus derivadas primera y segunda:
f ' (y) = 4y3 - 4y,
f ' ' (y) = 12y2 - 4.
Luego, plantea la condición de punto crítico (posible máximo o posible mínimo):
f ' (y) = 0, sustituyes y queda:
4y3 - 4y = 0, factorizas y queda:
4y(y - 1)(y + 1) = 0, luego, por anulación de un producto, tienes tres opciones:
a)
y = 0, evalúas para él la derivada segunda y queda: f ' ' (0) = - 4 < 0,
por lo que tienes que la gráfica de la función es cóncava hacia abajo,
por lo que presenta un máximo relativo en este punto,
luego reemplazas en la expresión señalada (1) y queda: x = 02= 0,
y el valor de la función para él es: f(0) = 9/4 (3).
b)
y = 1, evalúas para él la derivada segunda y queda: f ' ' (1) = 8 > 0,
por lo que tienes que la gráfica de la función es cóncava hacia arriba,
por lo que presenta un mínimo en este punto,
luego reemplazas en la expresión señalada (1) y queda: x = 12 = 1,
y el valor de la función para él es: f(1) = 5/4 (4).
c)
y = - 1, evalúas para él la derivada segunda y queda: f ' ' (- 1) = 8 > 0,
por lo que tienes que la gráfica de la función es cóncava hacia arriba,
por lo que presenta un mínimo en este punto,
luego reemplazas en la expresión señalada (1) y queda: x = (- 1)2 = 1,
y el valor de la función para él es: f(1) = 5/4 (3).
Luego, tienes que los valores mínimos de la función se presentan en las opciones:
b)
y = 1, para el que la función toma el valor: f(1) = d(A,Pb)2 = 5/4,
haces pasaje de potencia como raíz y queda: d(A,Pb) = √(5/4) = √(5)/2.
Observa que el punto tiene coordenadas: Pb(1,1)
c)
y = - 1, para el que la función toma el valor: f(- 1) = d(A,Pc)2 = 5/4,
haces pasaje de potencia como raíz y queda: d(A,Pc) = √(5/4) = √(5)/2.
Observa que el punto tiene coordenadas: Pc(1,-1).
Haz un gráfico de la función f, y verás que los puntos que hemos señalado corresponden a sus mínimos absolutos.
Espero haberte ayudado.
Hola necesito ayuda con unos 3 problemas. Porfavor podeis ayudarme. Gracias de antemano. Son el 3,4 y 5![]()
Ejercicio 5.
Copia original: 1
Copia reducida: 1 * 3/4= 3/4
Copia reducida de la reducida: 3/4 * 3/4 = 9/16 del original
Ejercicio 3.
15000 - (15000 * 7/10) = 15000 - 10500= 4500 hectáreas de cultivo se han quemado
(sabiendo que 1 hectárea= 10.000 m2)
4500 hectareas = 45.000.000 m2 de cultivo se han quemado
Entre los pares de números cuyo producto es 64 encuentra aquellos positivos cuya suma de cuadrados sea mínima.
-Una de entre muchas formas de resolverlo:
Hay 7 posibles combinaciones (que se pueden reducir a 4 casos) en el que al multiplicar dos números obtengamos 64:
1*64 (o 64*1) ----> 1^2 + 64^2= 1+4096= 4097
2*32 (o 32*1) -----> 2^2 + 32^2= 4+1024= 1028
4*16 (o 16*4)------> 4^2 + 16^2= 16+256= 272
8*8 ------------------> 8^2 + 8^2= 64+64= 128
De los 7 posibles casos observamos que 128<272<1028<4097
, entonces el par con producto igual a 64 y suma de cuadrados mínima es el par (8,8)
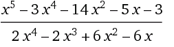
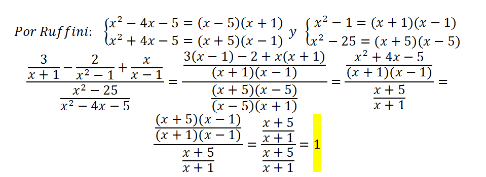
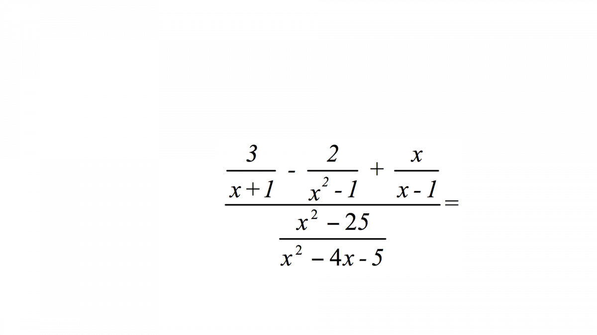
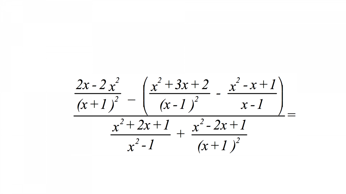
Pasa a común denominador x^2-1 las fracciones de arriba y haciendo las sumas y restas pasa a una única fracción
Factoriza la fracción de arriba: el numerador es (x-5)(x+5)
y en el denominador resuelve la ec. de segundo grado con la fórmula y factorizas
Fíjate en si tienes elementos comunes a continuación para eliminarlos (siempre de manera lícita, claro).
Intenta resolverlo y dudas en algo nos cuentas.
En España al menos está un poco fuera de lugar por nivel, pero puedes intentarlo de esta manera:
https://www.youtube.com/watch?v=cAYL-fkEdiw
https://www.youtube.com/watch?v=m6mnLtG432g
Si te es posible, como bien dice el enunciado, pues enhorabuena (casi nadie o nadie de tu curso, si es que eres de secundaria, habrá realizado este paso)
Si no te sale, tranquilo, tu profesor no lo pondrá en el examen.
La finalidad es la misma (factorizar polinomios)
El procedimiento (como habrás podido comprobar) es diferente.
Es decir, tú en un 99% (en el instituto) prueba por Ruffini en los polinomios completos de grado 3 o mayores.
Si no te sale, como en este caso, uno de los procedimientos alternativos o auxiliares (entre otros de los que verás en la Universidad si estudias una carrera específica de números) es el de divisores binómicos.
Si es de grado 1.
Ejemplo: x-4=2 simplemente despejarías x: x=4+2=6
Si es completo de grado 2.
Ejemplo: 2x2-7x-15=0
Varias opciones, entre ellas:
*Divisores binómicos
*Ruffini también (como usó el profe Antonio en el ejemplo que anteriormente te envió)
*Usar la fórmula (la que yo suelo utilizar): http://www.unicoos.com/video/matematicas/2-eso/ecuaciones/ecuaciones-de-segundo-grado/ecuaciones-de-segundo-grado