Alguien que me ayude a resolver esto
Calcula la superficie que determina la parábola f(x)=x^2+x-2 con el eje de abscisas x entre los valores de x=-1 y x=4

Plantea las intersecciones de la gráfica de la función con el eje OX:
f(x) = 0, sustituyes y queda:
x2 + x - 2 = 0, que es una ecuación polinómica cuadrática cuyas soluciones son:
x = - 2 y x = 1.
Luego, observa que para valores intermedios entre las raíces, tienes que la función toma valores negativos:
f(-1) = - 2, f(0) = - 2).
Luego, observa que la región determinada por la gráfica de la función y el eje OX tiene dos sectores:
1) Entre -1 y 2: la gráfica se encuentra por debajo del eje OX.
2) Entre 2 y 4: la gráfica se encuentra por encima del eje OX.
Luego, para el cálculo de la superficie de la región, plantea la suma de las superficies de los sectores:
S1 = ∫ ( 0 - (x2 + x - 2) )*dx = - ∫ (x2 + x - 2)*dx = - [ x3/3 + x2/2 - 2x ] = evalúas = - ( (8/3 + 2 - 4) - (- 1/3 + 1/2 + 2 ) = - ( (2/3) - 13/6 ) = - ( - 3/2) = 3/2;
S2 = ∫ ( (x2 + x - 2) - 0 )*dx = ∫ (x2 + x - 2)*dx = [ x3/3 + x2/2 - 2x ] = evalúas = (64/3 + 8 - 16) - (8/3 + 2 - 4) = 40/3 - 2/3 = 38/3;
luego, la superficie de la región queda:
S = S1 + S2 = 3/2 + 38/3 = 85/6.
Espero haberte ayudado.
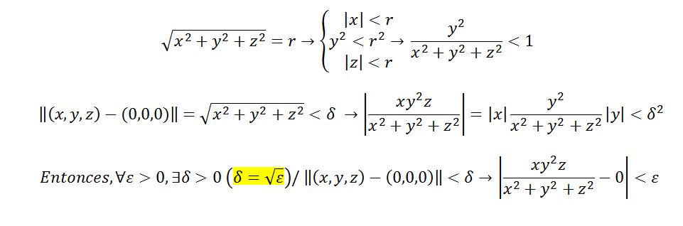
Alguna alma noble que me ayude con este límite por definición exilon Delta, muchas gracias de ante mano

Te doy una ayuda:
observa el numerador en el argumento del valor absoluto:
|x*y2*z| = |x|*|y2|*|z| = √(x2)*y2*√(z2) ≤ √(x2 + y2 + z2)*(x2 + y2 + z2)*√(x2 + y2 + z2) = ( √(x2 + y2 + z2) )2*(x2 + y2 + z2) = (x2 + y2 + z2)*(x2 + y2 + z2) = (x2 + y2 + z2)2.
Luego, pasamos al valor absoluto completo:
| x*y2*z / (x2 + y2 + z2) - 0 | = | x*y2*z / (x2 + y2 + z2) | ≤ | (x2 + y2 + z2)2 / (x2 + y2 + z2) | = | (x2 + y2 + z2) | = (x2 + y2 + z2) = ( √(x2 + y2 + z2) )2 < ε.
Luego haces pasaje de potencia como raíz en la última desigualdad remarcada y queda:
√(x2 + y2 + z2) < √(ε) = δ.
Espero haberte ayudado.
Cuando estoy estudiando la continuidad de una función que es una raíz cuadrada si el resultado es +2 y -2, ¿qué valor cojo?
Gracias de antemano.
Creo que ya lo he entendido, ya que el enunciado me dice que el dominio es f:(0,+infinito) eso sin duda tiene mucho que ver no? Si no tendría que coger ambos valores verdad?
Malu, para ver la continuidad ahí simplemente compruebas que están definidos los trozos sea cual sea el valor de equis (sustituyes por cualquier decimal comprendido entre 0.00000...1 y 0.999999 mentalmente por ejemplo y/o viendo que no se hace negativa la raíz)
En el segundo trozo también lo compruebas mentalmente con cualquier valor mayor o igual que 1.0000000...1
(de teoría: ten presente los dominios de funciones polinomicas y racionales)
Y comprobarás que efectivamente el dominio es (0,inf)...ya que no hay ningún trozo definiendo (-inf,0]
((lo de los dos valores: tu duda del principio y el dominio de esta función...no le veo relación ninguna))
Hola como puedo plantear este ejercicio no se como plantearlo
A
es directamente proporcional a B y a C. Sí A = 9, B = 25 y C = 20. Encontrar el
valor de A para B = 27 y C = 18.

Otra forma de expresar lo mismo es la siguiente
A / (BC) = k = constante
Está manera es la que suele usarse en este tipo de ejercicio es lo mismo en verdad pero así ya te evitas el hecho de hacer por ejemplo la división para eliminar k o incluso calcularlo .
9/(25*20) = A/(27*18)
No sé cómo empezar el ejercicio, he visto los vídeos pero en ninguno explica que hacer cuando pone x distinta de un número
Alguien me puede echar una mano? gracias!

Observa que el dominio de la función es: D = R - {0}.
Luego, aplicas la definición de valor absoluto, y la expresión de la función queda:
f(x) =
(x + 2)/x si x + 2 > 0
- (x + 2)/x si x + 2 < 0
1 si x = - 2.
Luego, ordenas expresiones, distribuyes y despejas en las desigualdades y queda:
f(x) =
(-x -2)/x si x < - 2
1 si x = - 2
(x + 2)/x si x > - 2 y x ≠ 0.
Luego, observa que tienes dos puntos críticos para estudiar la continuidad:
a) x = 0, que no pertenece al dominio de la función;
b) x = - 2, que es el punto de corte entre los trozos de la función.
Observa que para todos los demás puntos del dominio la función es continua.
Luego, pasas al estudio específico para cada punto crítico:
a)
1°) f(0) no está definida, por lo que ya tienes que la función es discontinua;
2°) Lím(x→0) f(x) = Lím(x→0) (x + 2)/x = ∞ (observa que el numerador tiende a 2 y que el denominador tiende a 0);
3°) La función presenta discontinuidad inevitable (o esencial) tipo asíntota vertical en x = 0.
b)
1°) f(-2) = 1;
2°) Límites laterales:
Lím(x→-2-) f(x) = Lím(x→-2-) (- x - 2)/x = 0/(-2) = 0,
Lím(x→-2+) f(x) = Lím(x→-2+) (x + 2)/x = 0/(-2) = 0,
por lo tanto tienes:
Lím(x→-2) f(x) = 0;
3°) La función presenta discontinuidad evitable (o puntual) en x = - 2.
Queda que hagas el gráfico.
Espero haberte ayudado.
Cuando dice que es distinta es que ese trozo define la función cuando x= -2 tanto por la izquierda como por la derecha
Cuando es distinta de -2 vale: |-2+2| / -2 = 0
Cuando es igual a -2 vale: 1
Como, aunque coinciden los límites laterales, no coinciden el valor de estos con el del punto x= -2, entonces presenta una discontinuidad de salto finito en ese punto
También tienes una discontinuidad en x=0 (pues la fracción no está definida cuando el denominador es 0)
Hola tengo una duda con este ejercicio
X e y son inversamente proporcionales, x = 5 a2 cuando y = 3ab. ¿Cuál es el valor de x cuando y = 2 a2
Lo que he hecho:
5a2 / x =3a2 / 2a2
Como son inversamente proporcionales basta dar vuelta una de las dos fracciones quedando:
5a2 / x = 2a2 / 3a2 → 5a2 (3a2 ) = 2a2 x → x =15a2 /2
¡Esta bien?

Tienes que las variables x e y son inversamente proporcionales, por lo que puedes plantear:
x*y = k (1), donde k es la constante de proporcionalidad.
Luego, sustituyes las expresiones iniciales en la ecuación señalada (1) y queda:
5a2*3ab = k, de donde tienes: 15a3b = k.
Luego, sustituyes la expresión de k y la expresión final de y en la ecuación señalada (1) y queda:
x*2a2 = 15a3b, haces pasajes de factores como divisores, simplificas y queda:
x = 15ab/2.
Espero haberte ayudado.
Hola unicoos me dan una mano con este ejercicio?
Me dice hallar los valores de a y b de modo tal que la funcion f, resulte continua en x=1

Es un teorema en verdad el límite cuando x--> a del producto de 2 funciones donde el límite de una es cero y la otra es acotada entonces el límite es cero .
Esto lo puedes probar empleando el teorema de estriccion lo que llaman el teorema " Sándwich"
fíjate que para todo real
-1 ≤ Sen(algo) ≤ 1
Multiplicas por la función
-(x-1) ≤ (x-1)Sen(algo) ≤ (x-1)
Si tomas límite cuando x tiende a 1 (por la derecha obviamente) obtienes que el límite del producto está entre 0 y 0 por lo tanto es cero