
Hay formas sencillas de resolver pero esto implica más conocimientos y otras técnicas de análisis.
Es una hipérbola con asintota vertical en x=-9/4 considerando una sola rama que contiene al intervalo dado allí es decreciente , bastaría entonces evaluar en los extremos del intervalo e invertir el sentido de la desigualdad.
Eso lo puedes comprobar
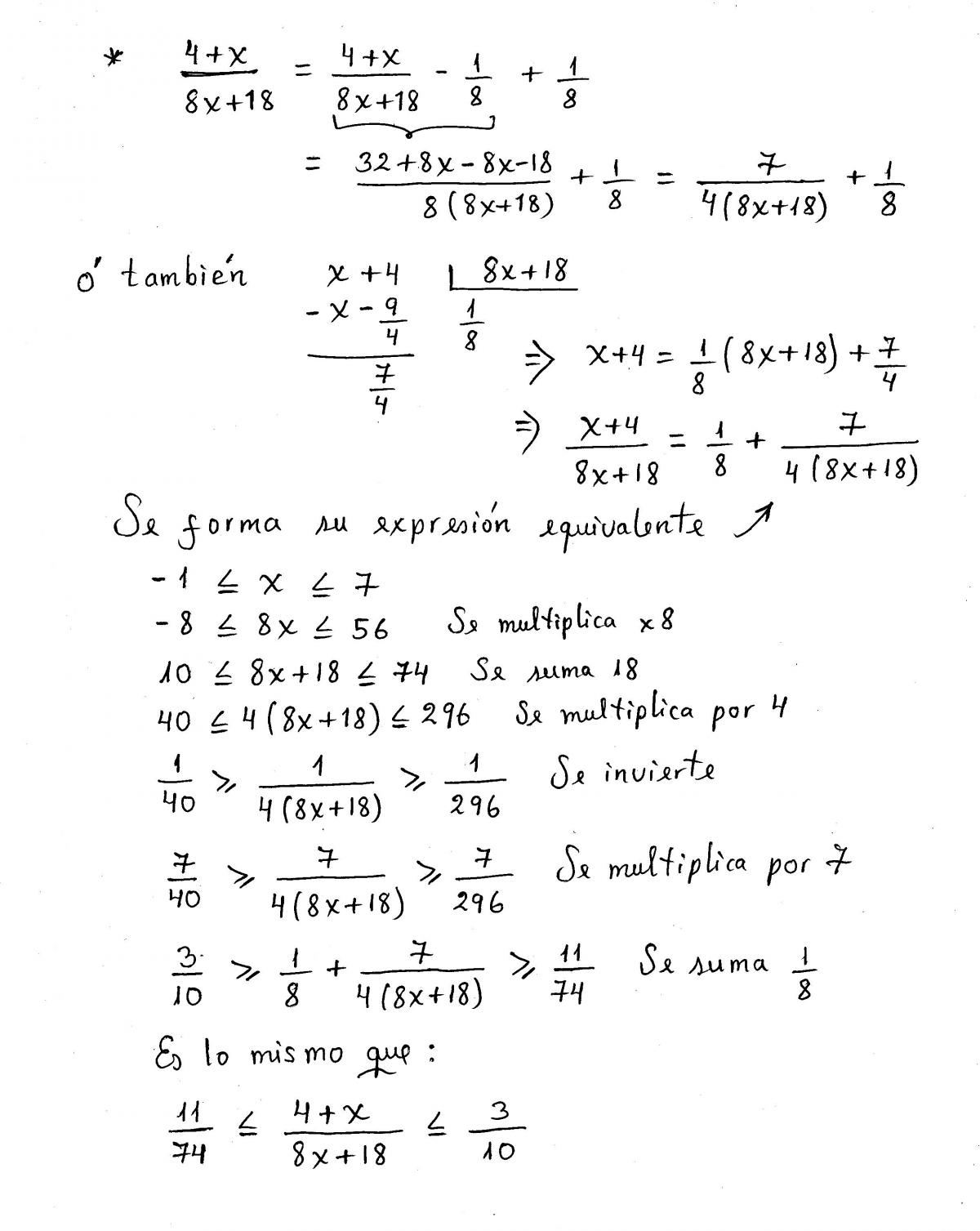
Pero dado tus ejercicios anteriores he resuelto este aplicando propiedades de desigualdades y formando la expresión


Observa que el miembro central de la doble inecuación puede escribirse:
(x + 2)/(x + 3) = ( (x + 3) - 1 )/(x + 3) = (x + 3)/(x + 3) - 1/(x + 3) = 1 - 1/(x + 3).
Luego, la doble inecuación puede escribirse:
3/8 < 1 - 1/(x + 3) < 6/7.
Luego, tenemos la doble inecuación de partida:
1/2 < x < 1, sumamos 3 en todos los miembros y queda:
7/2 < x + 3 < 4, luego invertimos (observa que los tres miembros son positivos, que cambian las desigualdades y que x debe ser distinto de - 3) y queda:
2/7 > 1/(x + 3) > 1/4, multiplicamos en todos los miembros por - 1 (observa que camban las desigualdades) y queda:
- 2/7 < - 1/(x + 3) < - 1/4, sumamos 1 en todos los miembros y queda:
5/7 < 1 - 1/(x + 3) < 3/4,
luego, observa que se cumplen las desigualdades:
3/8 < 5/7 (recuerda que 3/8 = 21/56 y 5/7 = 40/56), y
3/4 < 6/7 (recuerda que 3/4 = 21/28 y 6/7 = 24/28),
por lo que tenemos:
3/8 < 5/7 < 1 - 1/(x + 3) < 3/4 < 6/7,
luego, podemos concluir:
3/8 < 1 - 1/(x + 3) < 6/7.
Espero haberte ayudado.
Hola chicos, necesito ayuda en este problema de derivadas:
Determinar a,b,c pertenecientes a los Reales, de modo que las curvas f(x) = x^2 + ax +b y g(x)= x^3 +cx . Tengan una recta tangente comun en el punto (2,2). gracias
En primer lugar ambas rectas pasan por el punto (2, 2)
f(2)=2=>f(2) = 2^2 + a2 +b=4+2a+b=2=>2a+b=-2
g(2)=2=>g(2)= 2^3 +c2=8+2c=2=>2c=6=>c=-3
En segundo lugar si la recta tangente con pendiente m es común también lo será su pendiente
f'(2)=m=g'(2)
f'(x)=2x+a=>f'(2)=2·2+a=4+a
g'(x)=3x^2-3=>g'(2)=3·2^2-3=9
igualando:4+a=9=>a=5
y, por último usando la ecuación 2a+b=-2
2·5+b=-2=>10+b=-2=>b=-12
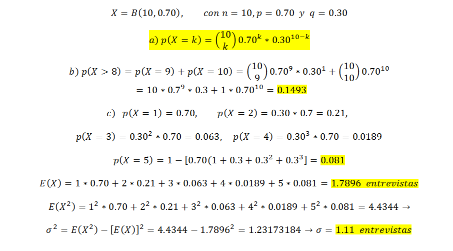
Hola, buenas. Tengo este problema de probabilidad:
Quisiera saber si mis resultados son los correctos:
Algún error o modificación que deba hacer?, saludos !!
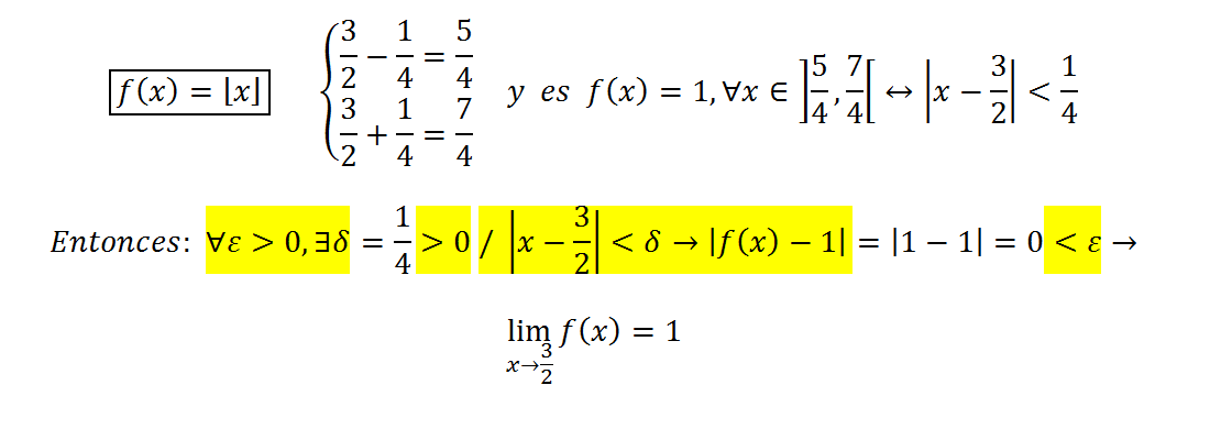
hola chicos , una pregunta una funcion es continua si su limites de cada trozo son iguales , solo eso hay que tener en cuenta parra determinar si es continua ?
La información que te da Facu sobre la continuidad de una función en UN PUNTO es correcta del todo, la tercera condición ha de cumplirse también
Extrapolando esta condición "puntual" de continuidad a una función definida a trozos, sólo tendríamos que aplicar estas tres condiciones a cada punto de posible discontinuidad de los intervalos que determinan cada trozo.
No debes olvidar verificar también que las "subfunciones" que rigen cada trozo han de ser contínuas.
Una vez hayas procesado esta información prueba si quieres con algún ejercicio y te lo resolvemos si queda alguna duda.
Hola tengo una duda sobre un ejercicio. El enunciado es hallar las raíces de x^5-x^4+8^3-11x^2-9×-18. Sabiendo que una de sus raíces es imaginaria pura. Desde ya gracias
Supongo que te referirás a x^5-x^4+8^3-11x^2-9x-18 = 0
Tienes que usar como sabrás el método de Newton-Raphson, el cuál excede en nivel a la competencia de esta página (además son ejercicios MUY largos y lleva mucho tiempo solucionarlos)
Como excepción, si realizas ordenada y claramente los 4-5 folios que ocupa el ejercicio puedo echarle un vistazo.
Ánimo, te aseguro que si haces uno bien los demás son como siempre: coser y cantar.
Como resuelvo esta inecuación? x(2x+1)(x-2)(2x-3) > 63
x(2x+1)(x-2)(2x-3) > 63
[x(2x+1)](x-2)(2x-3) -63 > 0
[(2x2+x)(x-2)](2x-3) -63 > 0
[2x3-4x2+x2-2x](2x-3) -63 > 0
[2x3-3x2-2x](2x-3) -63 > 0
[4x4-6x3-6x3+9x2-4x2+6x] -63 > 0
[4x4-12x3+5x2+6x] -63 > 0
4x4-12x3+5x2+6x -63 > 0
Factoriza ayudándote de Ruffini el polinomio 4x4-12x3+5x2+6x -63 , crea intervalos con las raíces halladas y los intervalos que resulten ">0" (que por cierto, coincidirán con las que sean negativos un número par de veces: 0,2 o 4) serán los intervalos que verificarán nuestra inecuación original.
Si sigues teniendo dudas, consultanos sin problema.
Pedro Alberto, tu planteamiento es erróneo desde el minuto 0...
¿En el Paso 1 porqué "buscas los factores" que dan cero? ¿No sería más lógico (aunque no una buena idea) el buscar los que den 63?
A partir de ahí los resultados erróneos vienen en cadena y consecuentemente das una solución (que puedes comprobar en la inecuación original) no es correcta.
Cierto que por divisores binómicos es más efectivo en este caso, pues aplicaló, el caso es factorizarlo para sacar los intervalos :D
Te hago el siguiente paso de la forma que dices y siguelo trabajando...pues a mi pesar, ando a tope de tarea y no dispongo de mucho tiempo :(
P(x)= 4x4-12x3+5x2+6x - 63
Buscamos los posibles divisores del término independiente y obtenemos que los posibles ceros son:
{-1,1,-3,3,-7,7,-9,9,-63,63}
Probamos en P(x) los valores en negrita hasta encontrar un cero:
P(-1) ≠ 0
P(1) ≠ 0
P(-3) ≠ 0
P(3) = 0
Entonces, podremos jurar que dividiendo 4x4-12x3+5x2+6x-63 ÷ (x-3) obtendremos de resto cero
Al efectuar esta división de la manera clásica http://www.unicoos.com/video/matematicas/4-eso/polinomios/operaciones-con-polinomios/division-de-polinomios (si tienes otro método también vale) obtenemos 4x3+5x+21
Por lo que 4x4-12x3+5x2+6x-63 = (4x3+5x+21)*(x-3)
Sigue factorizando 4x3+5x+21, (por el método que te convenga), si tienes dudas nos vas comentando.