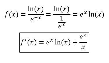
-Si estás empezando con las derivadas y quieres practicar para coger soltura, "trata" la función como un cociente:
La derivada del cociente es: [ (derivada del numerador)*(denominador) - (numerador)*(derivada del denominador) ] / (denominador)2
*La derivada de lnx es 1/x
*La derivada de e-x es -e-x
Aplicando lo anterior obtenemos que:
[(1/x)*e-x - Lnx*(-e-x)] / (e-x)2
Simplificando queda:
[(1/x)*e-x + Lnx*(e-x)] / (e-2x) =
[e-x[(1/x)+Lnx] / (e-2x) =
ex[(1/x)+Lnx]
se que este no es en si un tema de los videos, pero si algun unicoo me pudiera ayudar con esta demostracion, porfavor

¡Hola! Nos encantaría ayudarte, pero no solemos responder dudas universitarias que no tengan que ver específicamente con los vídeos que David ha grabado como excepción. O de otras asignaturas que no sean Matemáticas, Física y Química. Lo sentimos de corazón… Esperamos que lo entiendas.
Ojalá algún unicoo universitario se anime a ayudarte (de hecho lo ideal es que todos los universitarios intentarais ayudaros los unos a los otros).

hay video de eso que es casi igual , te será mejor que si lo resolviéramos nosotros
Funcion a trozos Discontinuidad 02 ahi está! Si seguis con dudas pregunta de nuevo que te ayudo! saludos!
( te recomiendo los mires a todos, son varios)
Para que se cumpla que f(x) sea contínua en todo ℛ en los posibles puntos de discontinuidad (x=-1 y x=3) tenemos que obtener los valores de m y n que verifiquen el siguiente sistema de ecuaciones (el cuál hemos obtenido sustituyendo en los trozos pertinentes por -1 o 3, cosa que sabrás teniendo el examen mañana...
3m+1=n-4m
-9n-4m=n+2
Utilizando cualquiera de los métodos que sabes de la ESO obtendrás que para que la función sea contínua en todos los reales, los valores obtenidos son:
m=-3/26
n= 5/26
https://es.wikipedia.org/wiki/Averno
:D
Una falacia: <<En cualquier grupo de caballos, todos los caballos son del mismo color>>.
Demostramos por inducción sobre n la propiedad:
<<En cualquier grupo de n caballos, todos los caballos del grupo son del mismo color.>>
Evidentemente, la propiedad es falsa. Descubre dónde falla la demostración.

La propiedad En cualquier grupo de caballos,todos los caballos son del mismo color solo es aplicable si n>=2.
Y es falsa para n=2.
Si se admite como punto de partida es evidente que, si cualquier pareja de caballos de una manada resulta ser del mismo color, toda la manada es de ese color. Excusamos de demostrarlo por inducción.