Hola! Ya queda menos chavales.. Mira queria haceros una pregunta sobre analisis, y es que el viernes de esta semana tengo el examen de recuperacion solo de ese bloque, asique mi pregunta es: ¿Qué es mas importante y que suele caer mas en los examenes de analisis? Es para poder hacer ejercicios y practicar. Solo quiero saber los puntos. Muchas gracias
Depende mucho del nivel Salvador. Pero yo te diré:
Límites, continuidad, derivabilidad, imagen de una función, máximo absoluto, mínimo absoluto, asíntotas, recta tangente, sucesiones, crecimiento, polinomio de Taylor, integración por partes y por sustitución, teorema fundamental del cálculo, área entre funciones, convergencia o divergencia de series.
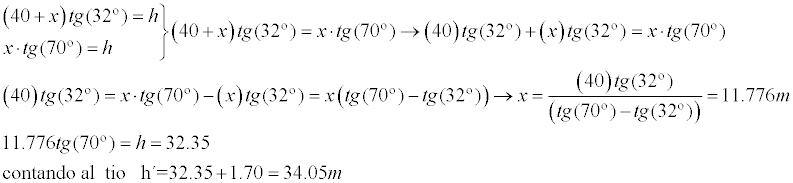
Hola! Os traigo un problema que cada vez que lo hago... me sale un resultado diferente... cualquier ayuda es bien recibida!!
a) ¿A que distancia se encontraba inicialmente la persona?
b) ¿Cuál es la altura de la torre teniendo en cuenta que la persona mide hasta los ojos 1,70m?

¡Hola! Nos encantaría ayudarte, pero no solemos responder dudas universitarias que no tengan que ver específicamente con los vídeos que David ha grabado como excepción. O de otras asignaturas que no sean Matemáticas, Física y Química. Lo sentimos de corazón… Esperamos que lo entiendas.
Ojalá algún unicoo universitario se anime a ayudarte (de hecho lo ideal es que todos los universitarios intentarais ayudaros los unos a los otros).
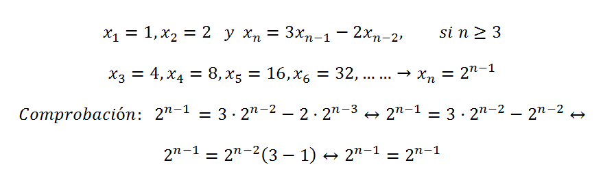
Sea {xn}n≥1 la sucesión definida recursivamente de la siguiente manera:
x1 := 1, x2 := 2, y, para n≥3, xn := 3xn-1-2xn-2
Calcula los valores de xn para valores pequeños de n y conjetura una fórmula general para xn en función de n.
Decirme los resultados de cada apartado por favor.
El
de los alumnos de un centro docente utiliza en su desplazamiento transporte público, el
usa vehículo propio y el resto va andando. El
de los que utilizan transporte público son mujeres, el
de los que usan vehículo propio son hombres y el
de los que van andando son mujeres.
a) Elegido al azar un alumno de ese centro, calcule la probabilidad de que sea hombre.
b) Elegido al azar un hombre, alumno de ese centro, ¿cuál es la probabilidad de que vaya andando?

¡Hola! Nos encantaría ayudarte, pero no solemos responder dudas universitarias que no tengan que ver específicamente con los vídeos que David ha grabado como excepción. O de otras asignaturas que no sean Matemáticas, Física y Química. Lo sentimos de corazón… Esperamos que lo entiendas.
Ojalá algún unicoo universitario se anime a ayudarte (de hecho lo ideal es que todos los universitarios intentarais ayudaros los unos a los otros).