Buenas tardes, estoy preparándome un examen de matemáticas para la Universidad, y no tengo ni idea de como estudiar la convexidad de los conjuntos, si alguien puede echarme una mano se lo agradecería.
Dado el conjunto 𝑆 = {(𝑥, 𝑦) ∈ ℝ2
/ 𝑥
2 + 𝑦 ≤ 9} , estudia si 𝑆 es convexo y/o acotado
Hola unicoos estoy haciendo un ejercicio de matematicas de estudios estadisticos en el cual me dan la siguiente tabla sobre libros leidos en 2016 por los alumnos de una clase, el caso es que no se como hayar lo que me piden debido a que me dan los datos de 5 en 5. ¿alguien me puede ayudar?
xi fi hi xifi xi2fi %
1-5
5-10
10-15
15-20
20-25
25-35
35-40
40-45
Hola!! Esta indeterminación es del tipo infinito/infinito. El grado de la x del numerador es mayor que la del denominador, por tanto el resultado es infinito. Y mi problema es que ahora no se si es mas o menos infinito. Aquí dejo un ejemplo, por qué el resultado es menos infinito en este ejercicio?![]()
Hola, Paula
Cuando el grado del numerador es mayor que el denominador el resultado es ±infinito. Para el signo, tienes que mirar el signo de ambos lados de la fracción.
En este caso, arriba tienes un número infinito positivo correspondiente al término 3x2 , sin embargo abajo, al tener x+1, como el límite es en -inf, tienes una cantidad infinitamente grande negativa. Así, positivo entre negativo -> negativo.
Espero haber ayudado!
Ejercicio 2: El coste marginal de una empresa en un determinado periodo viene dado por la siguiente
función:
CMg(t)= t 3 − 3t 2 + 3t
con t medido en años y el coste marginal en millones de unidades monetarias. Si los costes fijos en este
periodo son constantes e iguales a 6 millones de unidades monetarias, ¿en qué año, a partir del instante
cero, se alcanzará unos costes de 30 millones de unidades monetarias?
Buenas tardes,
alguien puede ayudarme con estos ejercicios, en concreto con el 1 y el 3,
mil gracias,
RAQUEL

¡Hola! Nos encantaría ayudarte, pero no solemos responder dudas universitarias que no tengan que ver específicamente con los vídeos que David ha grabado como excepción. O de otras asignaturas que no sean Matemáticas, Física y Química. Lo sentimos de corazón… Esperamos que lo entiendas.
Ojalá algún unicoo universitario se anime a ayudarte (de hecho lo ideal es que todos los universitarios intentarais ayudaros los unos a los otros).
Buenas
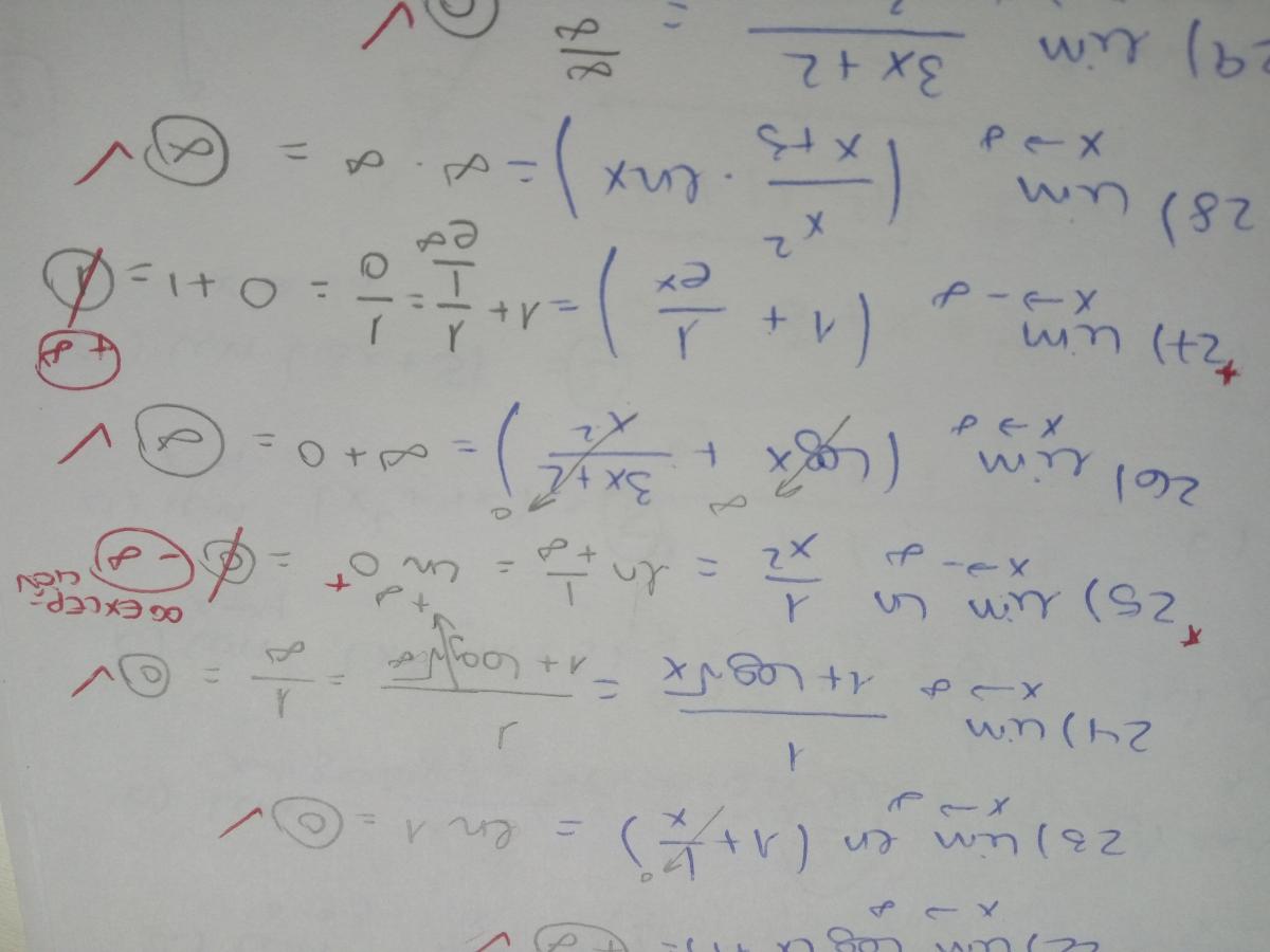
!! No entiendo por qué tengo mal el apartado 27) . Me lo podrían explicar? MILLONES DE GRACIAS!!❤