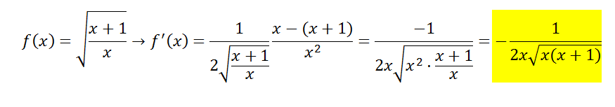
Buenas no se como puedo hacer esta integral para un ejercicio de mecanica: es ∫0.5√10x +(16+x2)1/2 dx
Y que metodo se usa para resolverla y eso, gracias de antemano.
Pdta: el 10x +(16+x2)1/2 estan dentro de la raiz

¡Hola! Nos encantaría ayudarte, pero no solemos responder dudas universitarias que no tengan que ver específicamente con los vídeos que David ha grabado como excepción. O de otras asignaturas que no sean Matemáticas, Física y Química. Lo sentimos de corazón… Esperamos que lo entiendas.
Ojalá algún unicoo universitario se anime a ayudarte (de hecho lo ideal es que todos los universitarios intentarais ayudaros los unos a los otros).

¡Hola! Nos encantaría ayudarte, pero no solemos responder dudas universitarias que no tengan que ver específicamente con los vídeos que David ha grabado como excepción. O de otras asignaturas que no sean Matemáticas, Física y Química. Lo sentimos de corazón… Esperamos que lo entiendas.
Ojalá algún unicoo universitario se anime a ayudarte (de hecho lo ideal es que todos los universitarios intentarais ayudaros los unos a los otros).
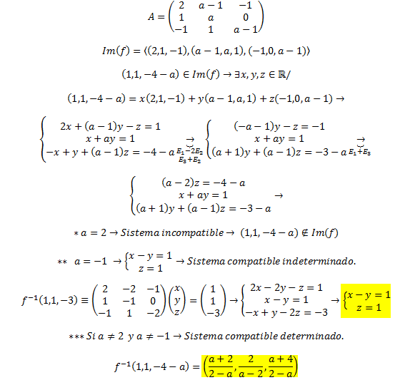
en aplicaciones lineales, cual es la diferencia entre ƒ: R2 → R2 y ƒ: R2[x] → R2[x] ??
muchas gracias
Hola, Jose
La primera función es entre números reales en dos dimensiones (R2 de toda la vida). El dominio e imagen de la segunda es el conjunto de polinomios reales de grado 2.
Es decir, la segunda actúa sobre un polinomio y su imagen es otro polinomio. Si no te dicen lo contrario, la base canónica de los polinomios de grado 2 es (1,x,x2) Esta base se extiende naturalmente a todos los grados que sean necesarios.
Espero haber ayudado!