Buenas no se como puedo hacer esta integral para un ejercicio de mecanica: es ∫0.5√10x +(16+x2)1/2 dx
Y que metodo se usa para resolverla y eso, gracias de antemano.
Tengo examen de física el lunes y el nos puso un problema en clase pero no lo termino porque tenía dolor de cabeza 😒 Quisiera en verdad que me ayuden con esto: un cuerpo vibra al compás de periodo 2 segundos, de amplitud 10cm. Calcular frecuencia (f), velocidad (v), aceleración (a) si su elongacion es de 3cm. El nos dio estás fórmulas: a= (2.pi/T)elevado a la 2. X; f=1/2.pi.raiz cuadrada de a/x; v=2.pi/T.A.Sen(2.pi/T.t) AYÚDAME PORFAVOOOOOOOR
Teorema. La bisectriz en el ángulo ∠CAB del triángulo ΔABC, divide el lado opuesto CB en dos segmentos CD y DB proporcionales, respectivamente, a los lados AC y AB.
Demostración. Dado el triángulo ΔABC, hacemos la bisectriz AD al ángulo ∠CAB.
Por C tiramos una paralela a la bisectriz AD. Sea E el punto en que corta la prolongación de la recta BA. Los ángulos ∠BAD, ∠AEC y ∠ACE son iguales. [Por qué?]
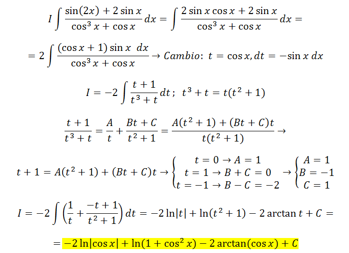
Buenas, me han dejado un taller de integrales y en la mayoría no he tenido problemas, en una que otra ocasión me apoyo en symbolab para aclarar dudas, pero tengo inconvenientes con esta:
Symbolab no la resuelve :/ y no he logrado sacarla, no se si sea muy evidente y no vea lo que debo hacer. Esta junto a otras 2 me han causado problemas, agradeceria que me colaboraran por ahora con esta. Muchas gracias.
En este ejercicio no entiendo porque la ecuacion parametrica esta expresada de esa forma "x-2z=7" alguien me podria decir si posiblemente es un error de la guia o si es posible hacerlo de esa forma
¿Cómo puedo hallar v en un triángulo equilátero si en un lado variable tengo x=0 y x=a y los vértices de la base están apoyados en y=4root (ax), y=-2root (ax)?
Agradezco me ayuden a solucionar esto:
Dibujar la grafica de función propuesta, escojer una escala que permita identificar los extremos relativos y puntos de inflexion de las siguientes ecuaciones
f(x)= x˄4 - 8x˄3 + 18x˄2 - 16x + 5
f(x)=(x+1)(x-2)(x+5)