
Vamos con una orientación.
a) Puedes plantear:
T(1,3,5) = T(i+3j+5k) = T(i) + 3T(j) + 5T(k) = (1,0)
T(0,1,1) = T(j+k) = T(j) + T(k) = (1,0)
T(0,0,1) = T(k) = (0,0);
luego, con las ecuaciones remarcadas formas un sistema, lo resuelves y tienes la solución:
T(i) = T(1,0,0) = (-2,0)
T(j) = T(0,1,0) = (1,0)
T(k) = T(0,0,1) = (0,0);
luego, la matriz asociada a la transformación lineal, en bases canónicas, queda:
AT =
-2 1 0
0 0 0
b) Tienes el subespacio: U = {<x,y,z> ∈ R3 | x + y - z = 0, y - z = 0}.
Observa que con las ecuaciones puedes formar un sistema:
x + y - z = 0
y - z = 0,
cuyas infinitas soluciones quedan expresadas:
x = 0
y ∈ R
z = y,
por lo que las ecuaciones cartesianas sib:
x = 0
z = y.
Espero haberte ayudado.
Buenas noches, ¿podría explicarme los dos apartados con el p-valor? No entiendo el planteamiento que hay que hacer y es el que nos piden que realicemos en el examen correspondiente. Gracias de antemano. Con los siguientes datos: Media de X = 27; S^2x = 100; n = 17 Media de Y = 20,5; S^2y = 36; m = 10
Siendo X = muestra de festivos y fines de semana Siendo Y = muestra de resto de los días
- Suponiendo que las varianzas poblacionales fuesen iguales. ¿Se puede afirmar que el número medio de
visitas en festivos y fines de semana es superior al número de visitas en el resto de días, a un nivel de
significación del 5%?
- ¿A partir de qué nivel de significación cambiaría su decisión del apartado anterior?

¡Hola! Nos encantaría ayudarte, pero no solemos responder dudas universitarias que no tengan que ver específicamente con los vídeos que David ha grabado como excepción. O de otras asignaturas que no sean Matemáticas, Física y Química. Lo sentimos de corazón… Esperamos que lo entiendas.
Ojalá algún unicoo universitario se anime a ayudarte (de hecho lo ideal es que todos los universitarios intentarais ayudaros los unos a los otros).
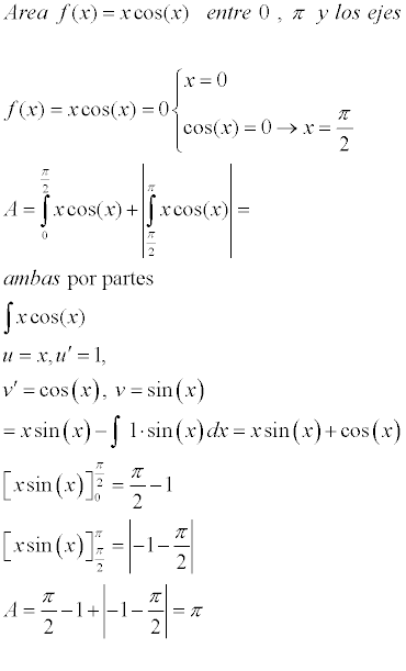
Hola tengo una duda sobre:
Calcular el área de un recinto limitado por la gráfica de la función f(x) = x cos x y el eje de abscisas entre x=0 y X= pi;
Para mi el problema es trabajar el numero pi sacar el area etc.. se como sacarla pero con esta constante especialmente para sacar los puntos de corte.
Espero un poco de ayuda por favor.

Me encantaría ayudarte, pero no respondo dudas universitarias que no tengan que ver específicamente con los videos que ya he grabado como excepcion. O de otras asignaturas que no sean matemáticas, física y química. Lo siento de corazón… Espero lo entiendas
Ojalá algun unicoo universitario se anime a ayudarte (de hecho lo ideal es que todos los universitarios intentarais ayudaros los unos a los otros)

Haz un gráfico para un valor de a positivo arbitrario, y verás que queda determinado un triángulo en el primer cuadrante, con base en el eje OX y vértices: (2-a,0), (2+a,0) y (2,a), cuya base tiene longitud 2a, su altura tiene longitud a, por lo que su área queda: 2a2/2 = a2 = 1, de donde despejas: a = 1, y tienes que los vértices del triángulo sno (1,0), (3,0) y (2,1).
Luego, la función de densidad de probad queda:
f(x) = 1 - |2 - x| =
1 - (2 - x) si 2 - x ≥ 0
1 + (2 - x) si 2 - x < 0
reduces expresiones, despejas inecuaciones y queda:
f(x) =
0 si x < 1
-1 + x si 1 ≤ x ≤ 2
3 - x si 2 ≤ x ≤ 3
0 si x > 3
Luego, para la función de distribución plantea:
F(x) =
0 si x < 1
∫ (-1 + u)*du, para evaluar entre 1 y x si 1 ≤ x ≤ 2
1/2 + ∫ (3 - u)*du, para evaluar entre 2 y x si 2 ≤ x ≤ 3 (el término 1/2 es por acumulación)
1 si x > 3.
luego resuelves las integrales y queda:
F(x) =
0 si x < 1
x2/2 - x + 1/2 si 1 ≤ x ≤ 2
- x2/2 + 3x - 7/2 si 2 ≤ x ≤ 3
1 si x > 3.
p(E ≤ 1,5) = F(1,5) = lo evalúas con la expresión del segundo trozo,
p(E > 2,3) = 1 - F(E ≤ 2,3) = lo evalúas con la expresión del tercer trozo,
p(1,1 ≤ E ≤ 1,7) = F(1,7) - F(1,1) = evalúas ambos términos en el segundo trozo,
p(1,5 ≤ E ≤ 2,5) = F(2,5) - F(1,5) = evalúas el primer término en el tercer trozo y el primer en el segundo trozo.
Espero haberte ayudado.
Hola buenos días, me quiero presentar a unas oposiciones el año que viene y piden matemáticas y física de nivel bachiller/selectividad, pero desde que acabe la ESO no he vuelto a tocar las matemáticas y la prueba de acceso a la universidad la realice de ciencias, biología y ciencias del medio ambiente, me gustaría saber por donde puedo empezar a retomar el tema ya que ando un poco perdido.
MUCHAS GRACIAS DE ANTEMANO.
Holaa me podrian ayudar con esto??
cuando en un problema de probabilidad te dicen de dos enfermos tratados que "al menos uno" tenga la alergia , otro apartado dice "de los dos enfermos tratados que uno tenga alergia",explicarme cual es la diferencia porque me lio muchisimo y quisiera hacerlo bn ... y yo en ambos casos usaría la formula de diferencia de sucesos