Hola,
Estoy haciendo unos ejercicios de probabilidad y combinatoria y no sé cómo hallar el segundo apartado.
El enunciado es el siguiente. a) Cuántos números distintos de 5 cifras se pueden formar con las cifras 1, 2, 3, 5, 7, 8, 9? b) Cuánto vale la suma de estos números?
Para el apartado a) he hecho una variación de 7 elementos tomados de 5 V57 = 7!/(7-5)!= 7!/2!= 2520
Pero para el apartado b) no se me ocurre otra manera que no sea ir creando cada número y sumándolo. Seguramente haya otro modo más rápido
Gracias!
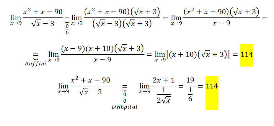
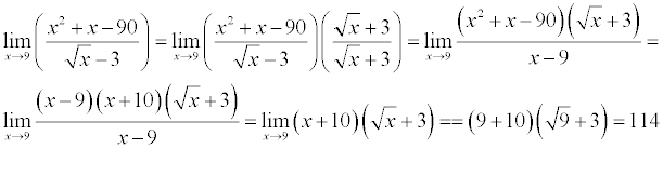
Hola, ¿cómo se calcula este límite?
A la hora de calcularlo me sale indeterminación 0/0... y al continuar resolviendo a indeterminación me vuelve a salir 0/0.
¿cómo sería el planteamiento de este límite hasta llegar a la solución final?

Hola Beatriz la solucion que se me ocurre es que tengas que aplicar la regla de l'Hôpital la cual dice que el limite cuando x tiende a algo de f(x)/g(x) es igual al limite de cuando x tiende a lo mismo de f'(x) / g'(x) es decir: es igual al limite de la derivada del numerador entre la derivada del denominador. Esta regla se puede aplicar ya que la indeterminacion que te da es 0/0.
lim (x^2 + x -90)/ (sqrt(x) -3) = lim (2x+1)/(1/2*sqrt(x)) = 19: 1/6 = 114
x-> 9 x-> 9
te aconsejo que utilices una pagina que se llama www.wolframalpha.com para comparar tus resultados con los correctos. Esta pagina te ayuda con todo tipo de operaciones matematicas , tanto integrales como derivadas , ecuaciones, estudio de funciones.... Un saludo y espero que te sirva de ayuda!
Alguien me podria decir si este limite, limx→π2(sec(x)−tan(x)) es una indeterminación de ∞ - ∞ y no se puede resolver? Es limite cuando x tiende a pi/2 por si no se ve bien.

si lo resuelves es una indeterminacion del tipo infinito- infinito pero tienes que saber que sec(x)-tan(x) = (sin( pi/4 - x/2))/ (sin( pi/4 +x/2)) y si calculamos el limite de esto nos da
lim ( sec(x) -tan(x) ) = lim sin( pi/4- x/2)/ sin(pi/4+x/2) = sin( pi/4 - pi/2*2) / sin( pi/4 + pi/2*2) = 0
x--> pi/2 x--> pi/2
por tanto el resultado de tu limite es 0 y si tendria solucion. Un saludo
Hola, tengo una duda relacionada con trigonometria (igual es un poco tonta, pero me quiero asegurar), al resolver una ecuación diferencial me ha salido que arctg(y)= - arctg(x)
Es lo mismo poner esa solución que poner que y=-x? (con las condiciones iniciales que me da el ejercicio me da que la constante c es 0, por eso no la pongo). Es decir, la igualdad
tg(-arctg(x))= -x es cierta?
Muchas gracias
El compás euclídeo tiene memoria. Construye, en un punto dado A, una recta [un segmento rectilíneo] AD igual a una recta dada BC.
[Indicación. Si el punto dado es A y el segmento dado es BC, une A y B. Sobre el lado AB echa un triángulo equilátero ΔABO. Prolonga OB y, con el compás, puerta C encima de la recta OB prolongada. Obtendrás un punto C '. Con centro en O y radio OC 'echa un arco de circunferencia hasta que corte la prolongación de la recta OA en el punto D. El segemnt AD es igual al segmento dado BC. Haz todos los pases, justifica la corrección de todo lo que estás haciendo. Demuestra que lo que has hecho es correcto.]

Me encantaría ayudarte, pero no respondo dudas universitarias que no tengan que ver específicamente con los videos que ya he grabado como excepcion. O de otras asignaturas que no sean matemáticas, física y química. Lo siento de corazón… Espero lo entiendas
Ojalá algun unicoo universitario se anime a ayudarte (de hecho lo ideal es que todos los universitarios intentarais ayudaros los unos a los otros)