Cuál de los siguientes conjuntos satisface completamente la siguiente inecuación
(x+4)(3x+10)<0
C) -4< x< -10/3
D).-4 > x > -10/3
(x + 4)(3x+10) < 0
encontramos los puntos criticos:
x+4=0 →x= -4
3x+10=0 → x= -10/3
ENTONCES
PARA
| X<-4 .......(1) | -4< X <-10/3 ......(2) | X > -10/3 .......(3) |
si escogemos un valor cualquiera dentro de este intervalo por ejem: -5 y reemplazamos: (-5+4)(-12+10) < 0 →2<0 vacío( 2 no es menor que 0) | si escogemos un valor cualquiera dentro de este intervalo por ejem: -3,5 y reemplazamos: (-3,5 + 4)(-10,5 + 10) < 0 → -0,25 < 0 (válido) | si escogemos un valor cualquiera dentro de este intervalo por ejem: -1 y reemplazamos: (-1 + 4)(-3 + 10) < 0 →21< 0 vacío(21 no es menor que 0) |
FINALMENTE:
para el unico intervalo que la inecuacion es valida es en (2)
-4 < x < -10/3
clave C
Hola! Alguien puede ayudarme con este ejercicio?? El profe lo ha solucionado de esta manera pero de acuerdo a lo aprendido con el profe de unicoos en youtube pienso que está mal resuelto y temo que se incluya en el examen final. Muchas gracias por su ayuda!!

Gracias por su ayuda, no he logrado entenderlo. Vicente entiendo que tratas de explicarme de donde sale 0.17, o eso es todo lo que hay que hacer en el ejercicio?? entiendo que el 0.06 es el total de posibles robos, pero al 0.01 lo divides entre 0.05 ahí ya estoy perdido si puedes aclararme un poco más te lo agradezco mucho. Saludos!
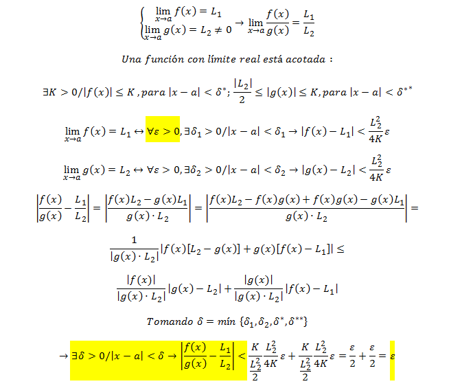
Hola buenas noches, necesito un libro o una explicación (lo que sea) detallada de la demostración del limite del cociente , donde se mencione porque se toma cierto epsilon , desde ya agradezco.
Hola, buenas. Con qué método de probabilidad debo resolver el siguiente problema?
Para hacerlo de la manera más eficaz y certera? , gracias de antemano.
Hola, quisiera saber si me pueden dar una mano con el siguiente ejercicio, porque no le encuentro la vuelta!![]()

Puedes plantear la ecuación cartesiana segmentaria de una recta
x/a + y/b = 1, en la que a y b son la abscisa y la ordenada al origen, respectivamente.
Luego, tienes en el enunciado que las coordenadas al origen suman 3, por lo que plantea:
a + b = 3 (1).
Luego, tienes que el punto de coordenadas (-2,-4) pertenece a la recta, por lo que reemplazas en la ecuación y queda:
- 2/a - 4/b = 1 (2).
Luego, con las ecuaciones señaladas (1) (2) tienes el sistema:
a + b = 3, de aquí despejas: b = 3 - a (3)
- 2/a - 4/b = 1,
luego sustituyes en la segunda ecuación y queda:
- 2/a - 4/(3 - a) = 1, extraes denominador común y queda:
(- 2(3 - a) - 4a) / a(3 - a) = 1, haces pasaje de divisor como factor y queda:
- 2(3 - a) - 4a = a(3 - a), distribuyes agrupamientos, reduces términos semejantes y queda:
- 2a - 6 = 3a - a2, haces pasajes de términos, reduces términos semejantes y queda:
a2 - 5a - 6 = 0, que es un ecuación polinómica cuadrática cuyas soluciones son:
a) a = - 1, que al reemplazar en la ecuación segmentaria queda: b = 4, y la ecuación de la recta queda: x/(-1) + y/4 = 1;
b) a = 6, que al reemplazar en la ecuación segmentaria queda: b = - 3, y la ecuación de la recta queda:
x/6 + y(-3) = 1;
por lo que tienes dos rectas que cumplen con las condiciones del enunciado,
de las que puedes obtener sus ecuaciones cartesianas explícitas al despejar y en las ecuaciones remarcadas.
Espero haberte ayudado.