¡Hola, Juan!
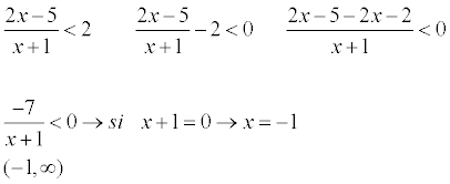
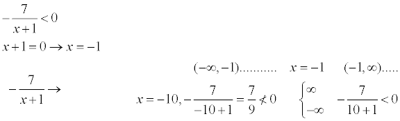
Para el a) debes comprobar si el ángulo que hay en P es recto, para ello debes calcular dos vectores, el que va de P a Q y el de P a R. Con ellos, mediante el producto escalar puedes saber si ambos vectores son perpendiculares ( Recordatorio: dos vectores son perpendiculares si su producto escalar es 0! ).
Para el b) debes escoger un punto ( el que quieras de P, Q, R y S ) y hacer los 3 vectores que van del punto escogido a los otros tres. Con esos tres vectores, sabemos que el volumen del tetraedro será el producto mixto multiplicado por 1/6 ( Recordatorio: el producto mixto de tres vectores es hacer el determinante de los 3 vectores ).
Espero haber ayudado!
Cual sera el valor de esta serie convergente?, si pudieran explicarme paso a paso se los agradeceria mucho
El profe Antonio te explicó ayer por la mañana:
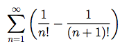
Esta serie tiene como resultado 1 (puedes sacarlas intuitivamente, sustituyendo números del 1 en adelante, hasta que veas el patrón)
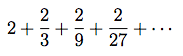
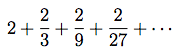
y la de abajo puedes usar la fórmula que te proporcionaron o coger la calculadora y ver que haciendo 2 + 2/3 + 2/9 + 2/27 + 2/81 + 2/243 + 2/729 +......... 2/3n estás a punto de llegar al 3 pero no eres capaz, eso significa que converge a 3 y es de esperar que, aunque no lo veamos, en infinito valdrá 3.
Cual sera el valor de esta serie convergente?, si pudieran explicarme paso a paso se los agradeceria mucho
¡Hola, Claudia!
La suma de esta serie es 3.
Para ello, vemos que el 2 está multiplicando a todos los términos y podemos sacarlo como factor común. Lo que nos queda, si te fijas, es la serie geométrica de razón 1/3 ( Primer término es 1 / 30, el segundo 1 / 31, el tercero 1 / 32 y así sucesivamente, se va multiplicando el anterior por 1/3 ).
Para calcular la suma de una serie geométrica de razón 'r' y primer término 'a' ( en este caso, a = 1! ) se utiliza: a / ( 1 - r ) (Importante saber de dónde sale para que no se olvide). En el problema, sería 1/ ( 1 - 1/3 ) = 1 / (2/3) = 3/2.
Teniendo en cuenta el 2 que hemos sacado factor común de cada término, el valor de la suma es 2* (3/2) = 3.
Espero haber ayudado!
El conjunto de la serie de poder formal sobre un campo es un anillo local?
Sea K un campo, y considere K[[x]], el anillo de la serie de poder formal con coeficientes en K, es decir, el conjunto de expresiones de la forma
con las reglas habituales de adición y multiplicación. ¿Cómo demostrar que K[[x]] es un anillo local?
Gracias de antemano

Me encantaría ayudarte, pero no respondo dudas universitarias que no tengan que ver específicamente con los videos que ya he grabado como excepcion. O de otras asignaturas que no sean matemáticas, física y química. Lo siento de corazón… Espero lo entiendas
Ojalá algun unicoo universitario se anime a ayudarte (de hecho lo ideal es que todos los universitarios intentarais ayudaros los unos a los otros)