Foro de preguntas y respuestas de Matemáticas

logo beUnicoos
Los foros de unicoos se han unificado en nuestra nueva plataforma beUnicoos. Para dejar nuevas preguntas deberás hacerlo allí, donde además podrás encontrar nuevas asignaturas y herramientas para ayudarte más con tus estudios.

  • icon

    Luz
    el 17/5/17
    flag

    Hola unicoos me ayudan con esto de quimica??? Mñana tengo el examen y en el foro de quimica no responden!!!

    Al ser ensayadas sobre ellas los indices de saponificacion y de yodo,dos sustancias lipidicas dan los siguientes resultados:

    SUSTANCIA A   IS 48     II 144

    SUSTANCIA B   IS 160   II 60

    Que conclusiones puede extraer de esos resultados?

    replythumb_up0 voto/sflag
    icon

    Jesús de María Pérez Martínez
    el 17/5/17

    Siento no poder ayudarte con esto, estudio quimica y no recuerdo que nos hablaran nunca de eso, aun así he echado un ojo por internet y he visto lo que significa, y cualitativamente cuanto mayor es el indice de yodo mayor cantidad de dobles enlaces tiene un compuesto (o triples, insaturaciones en general), y sabiendo que un doble enlace adiciona una molecula de yodo, y un triple adiciona dos la sustancia A tiene mayor indice de yodo por tanto tendrá mayor cantidad de dobles y/o triples enlaces que la sustancia B. Respecto al índice de saponificacion es una medida de la cantidad de hidróxido de potasio necesario para convertir 1 gramo de grasa en jabón, así que supongo que cuanto mayor sea este más KOH hará falta para saponificar un ácido graso, lo que significa que habrá más cadenas que romper y mayor será el peso molecular del ácido. Si mi razonamiento es correcto significara que el B tiene mayor peso molecular que A.

    En este ejercicio no puedo ayudarte más, intenta contrastar lo que te he dicho con alguna otra respuesta y con internet a ver si te aclaras. Suerte!!

    thumb_up0 voto/sflag
  • icon

    Luz
    el 17/5/17
    flag

    Hola unicoos me ayudan con esto de quimica??? Mñana tengo el examen y en el foro de quimica no responden!!!

    Dados los siguientes compuestos que tipo de isomeria pueden tener y formular los isomeros( 2 de cada tipo)

    2 cloro butano

    2-3 dicloro buteno

    replythumb_up0 voto/sflag
    icon

    Jesús de María Pérez Martínez
    el 17/5/17

    Creo que si he entendido tu pregunta necesitas dos isómeros para cada uno de estos compuestos:

    El primero, el 2-clorobutano puede tener solo isómeros de posición (del átomo de Cl) o de cadena, y un par de ejemplos serían en 1-clorobutano (de posición) y el 2-cloro-2-metilpropano (isómero de cadena) o mejor llamado cloruro de terc-butilo, buscalo y lo ves bien aqui es complicado escribir la estructura.

    El otro, es un alqueno, y tendrá isómeros de posición debido a los atomos de cloro y debido a la posición del doble enlace, pudiendo ser algún ejemplo 2,3-dicloro-1-buteno y el

    2,3-dicloro-2-buteno debidos al doble enlace o debido a los cloros podría valer el 1,2-dicloro-1-buteno o el 1,3-dicloro-1-buteno, el 1,2-dicloro-2-buteno, etc...

    thumb_up0 voto/sflag
  • icon

    Luz
    el 17/5/17
    flagflag

    Hola unicoos me ayudan con esto de quimica??? Mñana tengo el examen y en el foro de quimica no responden!!!

    Como se separan una mezcla de proteinas al ser ubicadas en el centro de un cuerpo electrico si sus PI son:

    a) PI igual 5

    b)PI igual 10

    c)PI igual 4,2

    El ph de la solucion reguladora es ph igual a 7.Cual de esas proteinas recorrera mas distancia?

    replythumb_up0 voto/sflag
    icon

    Jesús de María Pérez Martínez
    el 17/5/17

    Es preciso que te fijes bien en el enunciado que te dan, no será un campo eléctrico y no un cuerpo? También revisa lo de los nombres de los compuestos anteriores de la isomería, porque esos no son isómeros entre sí. Y ahora contestando a tu pregunta, punto isoeléctrico es el valor de pH al que un aminoácido (componentes de las proteínas) tiene carga neta 0, es decir neutro, si el pH es superior al PI tendrá carga negativa porque estará en la forma básica, estará cargado negativamente y se dirigirá al polo positivo, por contra si el pH es inferior al PI ese aminoácido estará en la forma ácida, estará cargado positivamente se moverá hacia el polo negativo, siguiendo el razonamiento:

    apartado a: Como el punto isoelectrico es 5 y el pH es 7, es decir mayor que el PI, la proteína estará en la forma básica, tendrá carga negativa y se irá al polo positivo.

    apartado b: El PI es 10 y el pH 7, el pH es menor que el PI y la proteína estará en la forma ácida cargada positivamente, se irá al polo negativo

    apartado c: PI 4,2 y pH 7, proteína en la forma básica, cargada negativamente y migrará hacia el polo positivo.

    El que recorra más distancia será aquel que tenga un punto isoeléctrico más alejado del pH, en este caso es el del apartado b que hay una diferencia de 3, seguido del apartado c y por último el a. Espero que te ayude.


    thumb_up0 voto/sflag
  • icon

    estefanny97
    el 17/5/17

    Buenas noches, podrian ayudarme resolviendo esta integral porfavor


    replythumb_up0 voto/sflag
    icon

    Axel Morales Piñón.
    el 17/5/17

    Por sustitución trigonométrica estefanny97.

    thumb_up2 voto/sflag
    icon

    estefanny97
    el 20/5/17

    Disculpa tengo que realizar esta demostracion pero no me sale 


    thumb_up0 voto/sflag
  • icon

    Angel Rosales Carrasco
    el 17/5/17
    flag

    me podrían ayudar en el bloque 3 no me salen, muchas

    replythumb_up0 voto/sflag
    icon

    David
    el 19/5/17

    Lo siento pero no se ve la imagen... 

    thumb_up0 voto/sflag
  • icon

    :)
    el 17/5/17

    me ayudan con los ejerciciis 1 , 2 y 4 muchisimas gracia

    replythumb_up0 voto/sflag
    icon

    Ángel
    el 17/5/17


    thumb_up1 voto/sflag
    icon

    Ángel
    el 17/5/17


    thumb_up1 voto/sflag
    icon

    :)
    el 17/5/17

    muchas gracias x el link del video la verdad ese y otro q busque me sacaron otras dudas para ya ir teniendo mas idea te agradesco


    thumb_up0 voto/sflag
  • icon

    Valentina Villegas Picazo
    el 17/5/17



    Hola Unicoos, este es el ejercicio que tengo que resolver, mi profesora dijo que ahí estaba bien, pero ya se ha equivocado otra veces así que ahora tengo dudas, se supone que un área no puede ser negativa, así que para otros ejercicios había escogió un intervalo cerrado en el que él área (mínimo ) daba 0 , pero en esta ecuación todos los numero desde -infinito a infinito sirven, así que no sé qué hacer.

    es un ejercicio de máximos y mínimos en intervalo abierto o cerrado ?? Si es abierto como lo puedo resolver, de pronto tienen videos ?? 

    Gracias 

    replythumb_up0 voto/sflag
    icon

    nohelia catalina fuentes cruz
    el 17/5/17

    debe ser abierto el intervalo tiene que ser  cerrado

     las areas no pueden ser negativas es decir no puedes tener un cuadrado de -5 m2 


    thumb_up0 voto/sflag
    icon

    Valentina Villegas Picazo
    el 17/5/17

    pero el area nunca me da negativa sin importar el numero que escoja 

    thumb_up0 voto/sflag
  • icon

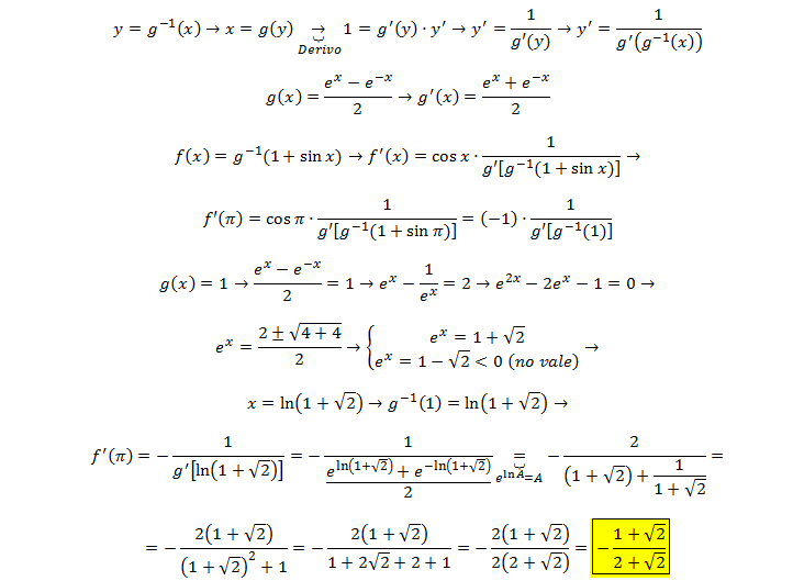
    Nacho
    el 17/5/17



    LAGUIEN ME AYUDA. Intente hacer la inversa pero no se si esta bien. tipo intente calcular esto: 1/2(e1+sen(x) )/(e2(1+sen(x))  -1) y derivarlo pero no se si estara bien o me confuncdi con los terminos o esa no corresponde a la inversa 

    replythumb_up0 voto/sflag
    icon

    Antonius Benedictus
    el 17/5/17


    thumb_up0 voto/sflag