
Haz un gráfico cartesiano, y verás que la región de integración es parecida a un triángulo, con dos lados rectos, y una "base" parabólica.
Luego, observa que los vértices de la región son los puntos de coordenadas:
A(0,8), donde se cortan las dos rectas,
B(-1,0), donde se cortan la segunda recta y la parábola, y
C(2,4), donde se cortan la primera recta y la parábola.
Luego, observa que el eje OY divide a la región en dos pares:
R1: con vértices: B(-1,0), O(0,0) y A(0,8), con borde inferior sobre la parábola y borde superior sobre la segunda recta,
cuya área es: A1 = ∫ ( (7x + 8) - x2 )*dx, para evaluar entre x = - 1 y x = 0;
R2: con vértices O(0,0), C(2,4) y A(0,8), con borde inferior sobre la parábola y borde superior sobre la primera recta,
cuya área es: A2 = = ∫ ( -2x + 8) - x2 )*dx, para evaluar entre x = 0 y x = 2.
Luego, queda que resuelvas las dos integrales y sumes su resultados, y obtendrás el área de la región.
Espero haberte ayudado.
Hola, buenas. Estoy muy confundido con este problema de Métodos que me han dejado, además de ser largo no se si realmente se debería aceptar la oferta o ir a los tribunales, les dejo el problema:
"La compañia Technically Techno tiene varias patentes para diferentes dispositivos de almacenamiento que se utilizan en computadoras, los teléfonos celulares y una gama de productos. Un competidor recientemente introdujo un producto basado en una tecnología similar a algo patentado por Technically Techno el año pasado. En consecuencia, Technically Techno demandó al competidor por transgresión de sus derechos. Con base en los echos del caso, al igual que el registro de los abogados involucrados. Technically Techno cree que tiene una probabilidad de 40% de que le otorguen $300.000 si la demanda llega a los tribunales. Tiene una probabilidad de 30% de que le otorguen sólo 50.000 si van a juicio y ganan y una probabilidad de 30% de que pierda el caso y no obtenga dinero. El costo legal estimado si van a corte es de $50.000, sin embargo, la otra compañía ha ofrecido pagar a Technically Techno $75.000 para arreglar la disputa sin ir a juicio. El costo estimado de esto sería de $10.000 si Technically Techno desea maximizare la ganancia esperada. ¿Debería aceptar la oferta de arreglo fuera de los tribunales?"
Debería aceptar la oferta?, gracias de antemano.

La redacción del enunciado me resulta algo confusa; entiendo que es así.
Si va a jucicio tiene que pagar y pude ocurrir:
- Que gane 300.000 con probabilidad
- Que gane 50.000 con probabilidad
- Que no gane nada con probabilidad
Si escoge no ir a juicio y aceptar el arreglo paga y recibe
Entonces en el caso de ir a juicio la ganancia esperada es:
En el caso de caso de no ir a juicio la ganancia esperada es:
¿Quiere decir esto que es mejor ir a juicio?
hola buenas noches queria saber si me pueden ayudar con este ejercicio es un verdadero o falso. desde ya muchas gracias.
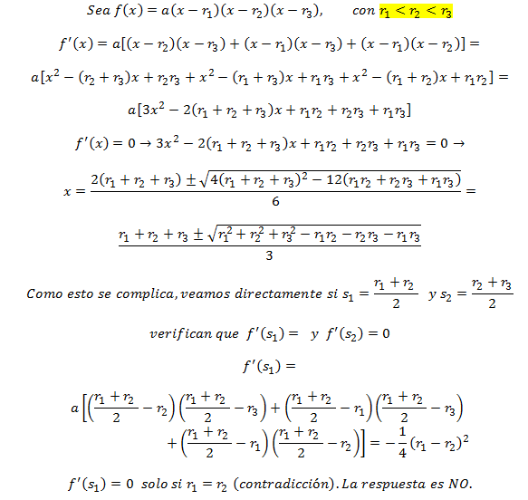
Si f es una función polinómica de grado 3 que tiene 3 raíces reales distintas y tiene extremos locales entonces éstos ocurren en el punto medio de dos raíces consecutivas.