a)
71.4 - 62.28= 9.12
340 - 283= 57
9.2/57= 0.16 euros/km
63.18 - 283*0.16 = 17 € es el gasto fijo
(podemos comprobarlo con el otro----> 71.4 - 340*0.16= 17 )
---------------------------------------------------------------------------------------------------------------------------------------------
b)
El mes anterior se "consumieron" 283 km
283*1.25= 353.75 km
353.75*0.16= 56.6 por los kilómetros hechos
56.6+17= 73.6 € costó el siguiente mes

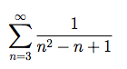
Observa que tienes una serie con términos positivos
Puedes plantear la comparación:
an = 1/(n2-n+1) ≤ 1/(n2-n+1-1) = 1/(n2-n) = bn.
Luego, tenemos:
∑(n=3,∞) an ≤ ∑(n=3,+∞) bn = ∑(n=3,+∞) 1/(n2-n), que es convergente,
y lo puedes mostrar con el criterio de la integral, con límites 3 y +infinito (impropia):
I = ∫ ( 1/(x2-x) )*dx = ∫ ( - 1/x + 1/(x-1) )*dx = [ - ln|x| + ln|x-1)| ] = [ ln|(x-1)/x| ] = ln|1 - 1/x| = ln(1) - ln(2/3) = ln(3/2).
Espero haberte ayudado.

Observa que tienes una serie de términos positivos.
Luego, puedes plantear la razón
|an+1/an| = ( (n+1)!/2n+1 ) / (n!/2n) = simplificas = (n+1)/2.
Luego, aplicas el criterio de la razón (o del cociente) y tienes:
Lím(n→+∞) |an+1/an| = Lím(n→+∞) (n+1)/2 = +∞,
y tienes que la serie es divergente.

¡Hola! Nos encantaría ayudarte, pero no solemos responder dudas universitarias que no tengan que ver específicamente con los vídeos que David ha grabado como excepción. O de otras asignaturas que no sean Matemáticas, Física y Química. Lo sentimos de corazón… Esperamos que lo entiendas.
Ojalá algún unicoo universitario se anime a ayudarte (de hecho lo ideal es que todos los universitarios intentarais ayudaros los unos a los otros).
Correspondencia exacta de dos valores a un valor
¿Hay una función que mapea 2 valores tales que un valor es x y otro es x ^ -1, donde x ^ -1 es el módulo inverso de x, a la misma salida?
f(x) = f (x ^ -1) mod n, donde n es primo grande, así que ¿qué es f?

Me encantaría ayudarte, pero no respondo dudas universitarias que no tengan que ver específicamente con los videos que ya he grabado como excepcion. O de otras asignaturas que no sean matemáticas, física y química. Lo siento de corazón… Espero lo entiendas
Ojalá algun unicoo universitario se anime a ayudarte (de hecho lo ideal es que todos los universitarios intentarais ayudaros los unos a los otros)