tenemos una pared de altura 5m y de ancho 3m , haya la superficie de la puerta
, gracias
Hay algun caso en el que si una funcion tiene solucion doble le pase algo al dominio?
Y este es correcto? Muchas gracias
Holaa, me podrían verificar ? por favor, porque al momento de hallar el exponente para euler, dudo, porque tan90° esta indeterminada, pero le tome que es cero por la multiplicación ?? esta bien ?gracias
Tratando de generalizar una recurrencia lineal de grado 2 usando funciones generadoras
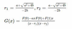
Estoy tratando de encontrar la solución general a una recurrencia lineal de dos términos F(n) = aF(n-1) + bF(n-2) pero no estoy seguro de lo que estoy haciendo.
No puedo decir si esto es incluso correcto hasta ahora. Consigo lo siguiente para las raíces del denominador:
Fracciones parciales:
y entonces
Pero nada de esto está simplificando muy bien. En última instancia, espero que conduzca a algo que se parece a F(n) = αrn1 + βrn2 (aunque creo que también es posible que uno de los términos parezca αnrn1 también, pero me divago).
¿A dónde me equivoco?

Me encantaría ayudarte, pero no respondo dudas universitarias que no tengan que ver específicamente con los videos que ya he grabado como excepcion. O de otras asignaturas que no sean matemáticas, física y química. Lo siento de corazón… Espero lo entiendas
Ojalá algun unicoo universitario se anime a ayudarte (de hecho lo ideal es que todos los universitarios intentarais ayudaros los unos a los otros)
HOLA, ME PODRÍAN AYUDAR .
Cuando 850 gramos de uranio 235 sufre fisión nuclear, se libera 6x10^20 ergios .¿Cuál es la masa de cenizas producidas en la reacción?
-Determina k para que los puntos A(1,2), B(-2,3) y C(3,k) estén alineados.
-Averigua el valor de t para que los puntos A(1,2), B(7,-11) y C(t,2t) estén alineados
Me harías un favor enorme si me ayudarais a resolver esto. Muchísimas gracias.
Hola a todos, me gustaría saber si alguien sabe dónde podría conseguir más problemas de este tipo; o decirme como se denominan estos, con el fin de encontrar más para continuar practicando. Este que sale en la foto pertenece al modelo de pruebas de Matematica II de la UNED 2017.
Un millón de gracias de antemano, tengan todos un feliz día.